2011结构工程师第15章-钢结构考点(42)
(二)压弯构件
1.截面形式
弯矩较小或承受反号弯矩的压弯构件,其截面一般采用双轴对称形式,有工字形截面、箱形截面和双肢、四肢的格构式截面。有些情况下,压弯构件承受的弯矩不变号,或某一方向弯矩明显起控制作用,如工业厂房中承受很大吊车荷载的柱子,这时也采用单轴对称截面,将较大面积放在压力拧大一侧。
2.实腹式压弯构件计算
本节以单向压弯构件为例说明压弯构件的计算方法。
(1)强度
单向压弯构件的强度计算公式为

式中 N、Mx----------轴心压力和绕x轴的弯矩设计值;
An,Wnx——净截面面积和净截面模量;
γx——截面塑性发展系数。
截面塑性发展系数的取值与拉弯构件中的规定相同,参见公式(15-2-26)后的说明
(2)整体稳定
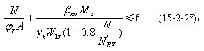
弯矩作用平面内

对于截面很不对称的单轴对称截面,当偏心位于较大翼缘一边时,还应符合下式

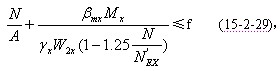
弯矩作用平面外

式中 N 所计算构件段范围内的轴心压力设计值;
φx~--弯矩作用平面内的轴心受压构件稳定系数;
Mx 所计算构件段范围内的最大弯矩设计值;
N’EX——参数,N’EX =π2EA/1.1 ;
Wix——弯矩作用平面内较大受压纤维的毛截面模量;
W2x--弯矩作用平面内较小受压(或受拉)纤维的毛截面模量;
βmx——等效弯矩系数,应按下列规定采用;
1)框架柱和两端支承的构件:
①无横向荷载作用时:βmx=0.65+0.35M2/M1, M1和M2为端弯矩,使构件产生同向曲率(无反弯点)时取同号,使构件产生反向曲率(有反弯点)时取异号, | M1|≥| M2|
②有端弯矩和横向荷载同时作用时;使构件产生同向曲率时,βmx=1.0;使构件产生反向曲率时,βmx=0.85;
③无端弯矩但有横向荷载作用时,βmx=1。
2)悬臂构件和分析内力未考虑二阶效应的无支撑纯框架和弱支撑框架柱,βmx=1。
Φy——弯矩作用平面外的轴心受压构件稳定系数,按5.1.2条确定;
Φb——均匀弯曲的受弯构件整体稳定系数,按钢结构设计规范(GB 50017—2003)附录B计算,其中工字形(含H型钢)和T形截面的非悬臂(悬伸)构件可按附录B第B.5节确定;对闭口截面Φb =1.0;
Mx 所计算构件段范围内的最大弯矩;
η--截面影响系数,闭口截面η=O.7,其他截面η=1.0;
βtx--等效弯矩系数,应按下列规定采用;
2010结构工程师考试成绩查询汇总 2010年结构工程师考后交流正热
2011结构工程师考试辅导招生简章 2011年度结构工程师考试时间确定
最新资讯
- 2025年一级注册结构工程师考前实战试题解析:突破考试瓶颈的终极指南‌2025-10-13
- 2025年一级注册结构工程师常考知识点2025-02-17
- 2025年二级注册结构工程师高频知识点2025-02-17
- 2024年度二级注册结构工程师专业考试资料:规范、标准、规程2024-08-13
- 2024年度一级注册结构工程师专业考试资料:规范、标准、规程2024-08-13
- 环球网校双11预售开启!定金百倍膨胀,直播再返现金2023-10-25
- 环球网校结构工程师双11活动来啦,限时优惠!2023-10-25
- 注册结构工程师考试大纲下载2023-05-16
- 2023年一级注册结构工程师考试大纲内容2023-04-14
- 2023年结构工程师教材内容变动对比2023-04-10