2011结构工程师第15章-钢结构考点(44)
更新时间:2010-10-22 09:32:14
来源:|0
浏览
收藏
结构工程师报名、考试、查分时间 免费短信提醒
3.格构式压弯构件的计算原则
截面强度的计算与实腹式压弯构件相同。
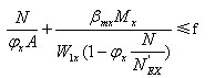
当弯矩绕虚轴作用时,弯矩作用平面内的整体稳定计算公式如下:

式中W1x=Ix/y0。Ix为对I轴的毛截面惯性矩,y0为由x轴到压力较大分肢的轴线距离或者到压力较大分肢腹板边缘的距离,二者取较大者;φx、N’EX由换算长细比确定。
弯矩作用平面外的整体稳定性可不计算,但应计算分肢的稳定性,分肢的轴心力应按桁架的弦杆计算。对缀板柱的分肢尚应考虑由剪力引起的局部弯矩。
弯矩绕实轴作用的格构式压弯构件,其弯矩作用平面内和平面外的稳定性计算均与实腹式构件相同。但在计算弯矩作用平面外的整体稳定性时,长细比应取换算长细比,φb应取1.0。
2010结构工程师考试成绩查询汇总 2010年结构工程师考后交流正热
2011结构工程师考试辅导招生简章 2011年度结构工程师考试时间确定
编辑推荐
最新资讯
- 2025年一级注册结构工程师考前实战试题解析:突破考试瓶颈的终极指南‌2025-10-13
- 2025年一级注册结构工程师常考知识点2025-02-17
- 2025年二级注册结构工程师高频知识点2025-02-17
- 2024年度二级注册结构工程师专业考试资料:规范、标准、规程2024-08-13
- 2024年度一级注册结构工程师专业考试资料:规范、标准、规程2024-08-13
- 环球网校双11预售开启!定金百倍膨胀,直播再返现金2023-10-25
- 环球网校结构工程师双11活动来啦,限时优惠!2023-10-25
- 注册结构工程师考试大纲下载2023-05-16
- 2023年一级注册结构工程师考试大纲内容2023-04-14
- 2023年结构工程师教材内容变动对比2023-04-10