2011结构工程师第15章-钢结构考点(65)
更新时间:2010-10-26 10:35:34
来源:|0
浏览
收藏
结构工程师报名、考试、查分时间 免费短信提醒
2.单个螺栓的承载力计算
每个螺栓受力后能保证正常工作而不会出现破坏所能承受的最大外力称为这个螺栓的承一载力。当一个螺栓受力后可能出现几种破坏形式时,应求得相应于几种破坏形式的承载力,其中的最小者即为这个螺栓的承载力。
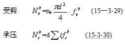
(1)每个受剪螺栓的承载力

取二者中的小者为一个螺栓的承载力,以
表示。
式中

——在同一受力方向承压构件的较小总厚度;
——螺栓连接的孔壁承压强度设计值。
(2)每个受拉螺栓的承载力
![]()
式中 de--螺栓螺纹处的有效直径;
Ae--螺栓螺纹处的有效面积;
——螺栓的抗拉强度设计值。
2010结构工程师考试成绩查询汇总 2010年结构工程师考后交流正热
2011结构工程师考试辅导招生简章 2011年度结构工程师考试时间确定
编辑推荐
最新资讯
- 2025年一级注册结构工程师考前实战试题解析:突破考试瓶颈的终极指南‌2025-10-13
- 2025年一级注册结构工程师常考知识点2025-02-17
- 2025年二级注册结构工程师高频知识点2025-02-17
- 2024年度二级注册结构工程师专业考试资料:规范、标准、规程2024-08-13
- 2024年度一级注册结构工程师专业考试资料:规范、标准、规程2024-08-13
- 环球网校双11预售开启!定金百倍膨胀,直播再返现金2023-10-25
- 环球网校结构工程师双11活动来啦,限时优惠!2023-10-25
- 注册结构工程师考试大纲下载2023-05-16
- 2023年一级注册结构工程师考试大纲内容2023-04-14
- 2023年结构工程师教材内容变动对比2023-04-10