2011结构工程师第15章-钢结构考点(93)
更新时间:2010-10-29 14:55:33
来源:|0
浏览
收藏
结构工程师报名、考试、查分时间 免费短信提醒
2.交叉腹杆计算长度
(1)平面内计算长度
l0=l
(2)平面外计算长度
1)压杆
①相交另一杆受压,交叉点不中断(图15-4-18a)

②相交另一杆受压,一杆在交叉点中断,以节点板搭接(图15-4—18b)

③相交另一杆受拉,交叉点不中断(图15-4—18c)
![]()

④相交另一杆受拉,交叉点中断,并用节点板搭接

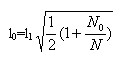
式中 No--相交另一杆的内力,均为绝对值;
N——计算杆的内力,
N≥No
2)拉杆
l0=l1 (15—4—8)
2010结构工程师考试成绩查询汇总 2010年结构工程师考后交流正热
2011结构工程师考试辅导招生简章 2011年度结构工程师考试时间确定
编辑推荐
最新资讯
- 2025年一级注册结构工程师考前实战试题解析:突破考试瓶颈的终极指南‌2025-10-13
- 2025年一级注册结构工程师常考知识点2025-02-17
- 2025年二级注册结构工程师高频知识点2025-02-17
- 2024年度二级注册结构工程师专业考试资料:规范、标准、规程2024-08-13
- 2024年度一级注册结构工程师专业考试资料:规范、标准、规程2024-08-13
- 环球网校双11预售开启!定金百倍膨胀,直播再返现金2023-10-25
- 环球网校结构工程师双11活动来啦,限时优惠!2023-10-25
- 注册结构工程师考试大纲下载2023-05-16
- 2023年一级注册结构工程师考试大纲内容2023-04-14
- 2023年结构工程师教材内容变动对比2023-04-10