2011结构工程师第15章-钢结构考点习题(7)
更新时间:2010-10-29 15:14:34
来源:|0
浏览
收藏
结构工程师报名、考试、查分时间 免费短信提醒
例:钢屋架中竖杆(l为其几何长度)由两个等肢角钢组成十字形截面杆件, 计算该竖杆最大长细比λmax时,其计算长度l0取为( )。
A. 0.8l B. 0.9l C. l D.上述A、B、C均不对
解:竖杆截面为十字形截面,在斜平面内,其计算长 度l0 =0. 9l,故应选B项。
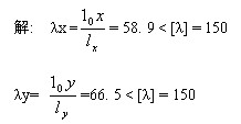
例:某屋架钢材为Q345,上弦杆计算长度lox=1508mm, loy=4524mm,上弦杆截面2∠140 X 90 X 10(短肢相并), A = 4460mm2, Ix = 292×104mm4, Iy = 2063X104mm4,[λ]=150,则上弦杆承载力设计值为( ) kN。
A. 1246 B. 1054 C. 879 D. 739


2010结构工程师考试成绩查询汇总 2010年结构工程师考后交流正热
2011结构工程师考试辅导招生简章 2011年度结构工程师考试时间确定
编辑推荐
最新资讯
- 2025年二级结构工程师考试都是选择题吗?题型分布与备考策略全解析2025-10-30
- 2025年一级注册结构工程师模拟题终极指南:高效备考冲刺全攻略2025-10-30
- 2025年二级结构工程师专业考试模拟题解析,免费下载!备考冲刺必备资料2025-10-29
- 注册结构工程师模拟考试题2023-04-23
- 一级注册结构工程师模拟题下载2023-04-21
- 一级注册结构工程师模拟题2023-04-20
- 2022年一级注册结构工程师试题2022-04-11
- 2021年注册结构工程师考前复习练习题汇总(含模拟题、历年真题)2021-09-28
- 2021年二级注册结构工程师专业考试冲刺试题及答案(十)2021-09-16
- 2021年二级注册结构工程师专业考试冲刺试题及答案(九)2021-09-15