2011结构工程师第16章-砌体结构辅导[33]
更新时间:2010-11-05 09:19:06
来源:|0
浏览
收藏
结构工程师报名、考试、查分时间 免费短信提醒
五、受剪构件计算
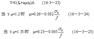
在无拉杆的拱支座截面处,由于拱的水平推力将使支座截面受剪。在受剪构件中,除水平剪力外,往往还有垂直压力。随着剪力的加大,由于砂浆产生很大的剪切变形,一层砌体对另一层砌体开始滑移,当有垂直压力时,内摩擦力将参加抵抗滑移。因此,砌体沿水平灰缝的抗剪承载力取决于沿砌体灰缝截面破坏时的抗剪承载力和作用在截面上的垂直压力所产生摩擦力的总和。
此外,由于砌体竖向灰缝的抗剪能力很低,可将砌体沿阶梯形截面受剪破坏时近似按其水平投影截面来计算。根据试验和分沿通缝或沿阶梯形截面破坏时受剪构件的承载力遂采用复合受力影响系数的剪摩理论模式按下列公式计算:

式中 V--截面剪力设计值;
A--水平截面面积。当有孔洞时,取净截面面积;
Fv--砌体抗剪强度设计值,对灌孔的混凝土砌块砌体取fvG
a——修正系数。
当γG=1.2时,砖砌体取0.60,混凝土砌块砌体取0.64;
当γG=1.35时,砖砌体取0.64,混凝土砌块砌体取0.66;
μ——剪压复合受力影响系数,o与/<的乘积可查表应用;
σo——永久荷载设计值产生的水平截面平均压应力;
f——砌体的抗压强度设计值:
σ0/f——轴压比,且不大于0.8。
3—2 配筋砖砌体构件的承载力计算
2010结构工程师考试成绩查询汇总 2010年结构工程师考后交流正热
2011结构工程师考试辅导招生简章 2011年度结构工程师考试时间确定
编辑推荐
最新资讯
- 2025年一级注册结构工程师考前实战试题解析:突破考试瓶颈的终极指南‌2025-10-13
- 2025年一级注册结构工程师常考知识点2025-02-17
- 2025年二级注册结构工程师高频知识点2025-02-17
- 2024年度二级注册结构工程师专业考试资料:规范、标准、规程2024-08-13
- 2024年度一级注册结构工程师专业考试资料:规范、标准、规程2024-08-13
- 环球网校双11预售开启!定金百倍膨胀,直播再返现金2023-10-25
- 环球网校结构工程师双11活动来啦,限时优惠!2023-10-25
- 注册结构工程师考试大纲下载2023-05-16
- 2023年一级注册结构工程师考试大纲内容2023-04-14
- 2023年结构工程师教材内容变动对比2023-04-10