2011结构工程师第16章-砌体结构辅导[37]
4.承载力计算
(1)计算公式
网状配筋砖砌体受压构件的承载力,应按下式计算
N≤φnfnA (16—3—26)
式中 N___轴向力设计值;
φn——高厚比和配筋率以及轴向力的偏心距对网状配筋砖砌体受压构件承载力的影响系数;
fn——网状配筋砖砌体的抗压强度设计值;-
A-------------截面面积。
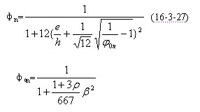
(2)网状配筋砖砌体构件的轴向力影响系数φn
φn取用了与无筋砌体影响系数φn (公式16-3-3),相一致的表达式。因此,当网状配筋砖砌体的偏心距e<0.2h时,可简化为

式中 ρ——配筋率(体积比);
φ0n。——网状配筋砖砌体受压构件的稳定系数;
β——高厚比。
网状配筋砌体构件的轴向力影响系数fn值也可由规范相应表格直接查得。
(3)网状配筋砌体的抗压强度设计值
![]()
式中 e——轴向力的偏心距;
y--截面重心轴到轴向力所在偏心方向截面边缘的距离; ’
ρ——配筋率(体积比),ρ=(Vs/V)100,当采用截面面积为As的钢筋组成的方格 网,网格尺寸为a和钢筋网的竖向间妇为sn时ρ=(2As/asn)100
Vs、V--分别为钢筋和砌体的体积;
fy--钢筋的抗拉强度设计值,当fy >320N/mm2时,仍采用fy =320N/mm2。
对矩形截面构件,当轴向力偏心方向的截面边长大于另一方向的边长时,除按偏心受 压计算外,还应对较小边长方向按轴心受压进行验算。
当网状配筋砖砌体下端与无筋砌体交接时,尚应验算交接处无筋砌体的局部受压承载力。
2010结构工程师考试成绩查询汇总 2010年结构工程师考后交流正热
2011结构工程师考试辅导招生简章 2011年度结构工程师考试时间确定
最新资讯
- 2025年一级注册结构工程师考前实战试题解析:突破考试瓶颈的终极指南‌2025-10-13
- 2025年一级注册结构工程师常考知识点2025-02-17
- 2025年二级注册结构工程师高频知识点2025-02-17
- 2024年度二级注册结构工程师专业考试资料:规范、标准、规程2024-08-13
- 2024年度一级注册结构工程师专业考试资料:规范、标准、规程2024-08-13
- 环球网校双11预售开启!定金百倍膨胀,直播再返现金2023-10-25
- 环球网校结构工程师双11活动来啦,限时优惠!2023-10-25
- 注册结构工程师考试大纲下载2023-05-16
- 2023年一级注册结构工程师考试大纲内容2023-04-14
- 2023年结构工程师教材内容变动对比2023-04-10