2011结构工程师第16章-砌体结构辅导[43]
更新时间:2010-11-08 09:53:45
来源:|0
浏览
收藏
结构工程师报名、考试、查分时间 免费短信提醒
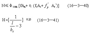
(二)砖砌体和钢筋混凝土构造柱组合墙
由于钢筋混凝土构造柱的有利作用,遂形成砖砌体和钢筋混凝土构造柱组成的组合砖墙。
1.轴心受压承载力计算公式

式中 φcom一——组合砖墙的稳定系数,可按相应表格采用;
η——强度系数,当l/bc小于4时取l/bc等于4;
l——沿墙长方向构造柱的间距;
bc——沿墙长方向构造柱的宽度;
An——砖砌体的净截面面积;
Ac——构造柱的截面面积
2010结构工程师考试成绩查询汇总 2010年结构工程师考后交流正热
2011结构工程师考试辅导招生简章 2011年度结构工程师考试时间确定
编辑推荐
最新资讯
- 2025年一级注册结构工程师考前实战试题解析:突破考试瓶颈的终极指南‌2025-10-13
- 2025年一级注册结构工程师常考知识点2025-02-17
- 2025年二级注册结构工程师高频知识点2025-02-17
- 2024年度二级注册结构工程师专业考试资料:规范、标准、规程2024-08-13
- 2024年度一级注册结构工程师专业考试资料:规范、标准、规程2024-08-13
- 环球网校双11预售开启!定金百倍膨胀,直播再返现金2023-10-25
- 环球网校结构工程师双11活动来啦,限时优惠!2023-10-25
- 注册结构工程师考试大纲下载2023-05-16
- 2023年一级注册结构工程师考试大纲内容2023-04-14
- 2023年结构工程师教材内容变动对比2023-04-10