2011结构工程师第16章-砌体结构辅导[49]
更新时间:2010-11-09 09:45:11
来源:|0
浏览
收藏
结构工程师报名、考试、查分时间 免费短信提醒
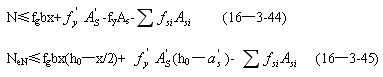
(2)大偏心受压
大偏心受压时应按下列公式计算(图16-3-19):

式中 N--轴向力设计值;
fg--灌孔砌体的抗压强度设计值;
——竖向受拉、受压主筋的强度设计值;
b--截面宽度;
fsi--竖向分布钢筋的抗拉强度设计值;
——竖向受拉、受压主筋的截面面积;
Asi——单根竖向分布钢筋的截面面积;
Ssi--第i根竖向分布钢筋对竖向受拉主筋的面积矩;
eN-轴向力作用点到竖向受拉主筋合力点之间的距离,可按式(16-3-35)的规定计算。
当受压区高度
时,其正截面承载力可按下式计算:
![]()
式中 e'N——轴向力作用点至竖向受压主筋合力点之间的距离。可按式(16-3-34)的规定计算。

当采用对称配筋(即
)时,可先设定竖向分布钢筋的配筋率、抗拉强度设计值和单根钢筋的截面面积,并扣除(图16-3-19a)位于中和轴附近1.5倍x范围内未达到屈服强度的分布钢筋,代人式(16-3-44),可求得截面受压区高度x将;代人式(16-3-45)即可求得![]()
同理,当受压区高度x<;
时,应令x=
,并对竖向受压主筋的重心取矩,即可求得
,见式(16-3-46)
2010结构工程师考试成绩查询汇总 2010年结构工程师考后交流正热
2011结构工程师考试辅导招生简章 2011年度结构工程师考试时间确定
编辑推荐
最新资讯
- 2025年一级注册结构工程师考前实战试题解析:突破考试瓶颈的终极指南‌2025-10-13
- 2025年一级注册结构工程师常考知识点2025-02-17
- 2025年二级注册结构工程师高频知识点2025-02-17
- 2024年度二级注册结构工程师专业考试资料:规范、标准、规程2024-08-13
- 2024年度一级注册结构工程师专业考试资料:规范、标准、规程2024-08-13
- 环球网校双11预售开启!定金百倍膨胀,直播再返现金2023-10-25
- 环球网校结构工程师双11活动来啦,限时优惠!2023-10-25
- 注册结构工程师考试大纲下载2023-05-16
- 2023年一级注册结构工程师考试大纲内容2023-04-14
- 2023年结构工程师教材内容变动对比2023-04-10