2011结构工程师第16章-砌体结构辅导[51]
更新时间:2010-11-09 09:58:42
来源:|0
浏览
收藏
结构工程师报名、考试、查分时间 免费短信提醒
2.T形、倒L形截面偏心受压配筋砌块砌体剪力墙正截面承载力
(1)翼缘计算宽度
的取值
T形、倒L形截面偏心受压构件,当冀缘和腹板的相交处采用错缝搭接砌筑和同时设置中距不大于1.2m的配筋带(截面高度≥60mm,钢筋不少于2ø12)时,可考虑冀缘的共同工作,翼缘的计算宽度应按表16-3-3中的最小值采用。

注:构件的计算高度H0可取层两。
(2)当受压区高度x≤hf’时,应按宽度为bf’的矩形截面计算;
(3)当受压区高度x> hf’时,则应考虑腹板的受压作用,应按下列公式计算:
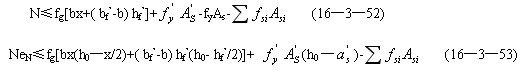
1)大偏心受压

式中 bf’--T形或倒L形截面受压区的翼缘计算宽度;
hf’——T形或倒L形截面受压区的翼缘高度。
2)小偏心受压

2010结构工程师考试成绩查询汇总 2010年结构工程师考后交流正热
2011结构工程师考试辅导招生简章 2011年度结构工程师考试时间确定
编辑推荐
最新资讯
- 2025年一级注册结构工程师考前实战试题解析:突破考试瓶颈的终极指南‌2025-10-13
- 2025年一级注册结构工程师常考知识点2025-02-17
- 2025年二级注册结构工程师高频知识点2025-02-17
- 2024年度二级注册结构工程师专业考试资料:规范、标准、规程2024-08-13
- 2024年度一级注册结构工程师专业考试资料:规范、标准、规程2024-08-13
- 环球网校双11预售开启!定金百倍膨胀,直播再返现金2023-10-25
- 环球网校结构工程师双11活动来啦,限时优惠!2023-10-25
- 注册结构工程师考试大纲下载2023-05-16
- 2023年一级注册结构工程师考试大纲内容2023-04-14
- 2023年结构工程师教材内容变动对比2023-04-10