2011结构工程师第16章-砌体结构辅导[53]
三、斜截面受剪承载力计算
(一)剪力墙
经试验研究,由于灌孔混凝土的强度较高,配筋混凝土砌块砌体剪力墙的抗剪性能与钢筋混凝土剪力墙的相近。在偏心压力作用下,配筋混凝土砌块砌体剪力墙的受剪破坏一般也发生有斜压、剪压和剪拉等三种形态。影响其承载力的主要因素与所采用的材料的强度、荷载在墙体截面上产生的垂直压应力、墙体的高宽比或剪跨比、水平分布钢筋和竖向钢筋的配筋率等。
偏心受压和偏心受拉配筋砌块砌体剪力墙,其斜截面受剪承载力应根据下列情况进行计算:
1.剪力墙的截面应满足下列要求:
![]()
式中 V--剪力墙的剪力设计值;
b--剪力墙截面宽度或T形、倒L形截面腹板宽度;
h--剪力墙的截面高度。
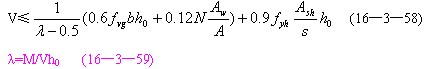
2.剪力墙在偏心受压时的斜截面受剪承载力应按下列公式计算:

式中 fvg——灌孔砌体抗剪强度设计值,应按《砌体结构设计规渤第3.2.2条的规定采用;
M、N、V——计算截面的弯矩、轴向力和剪力设计值,当N>0.25 fvgbh时取N=0.25 fvgbh;
A——剪力墙的截面面积,其中翼缘的有效面积,可按表16-3-3的规定确定;
Aw _____T形或倒L形截面腹板的截面面积,对矩形截面取Aw等于A;
λ-计算截面的剪跨比,当λ小于1.5时取1.5,当λ大于等于2.2时取2.2;
ho--剪力墙截面的有效高度;
Ash——配置在同一截面内的水平分布钢筋的全部截面面积;
s——水平分布钢筋的竖向间距;
fyh----------水平钢筋的抗拉强度设计值。
3.剪力墙在偏心受拉时的斜截面受剪承载力应按下式计算:

2010结构工程师考试成绩查询汇总 2010年结构工程师考后交流正热
2011结构工程师考试辅导招生简章 2011年度结构工程师考试时间确定
最新资讯
- 2025年一级注册结构工程师考前实战试题解析:突破考试瓶颈的终极指南‌2025-10-13
- 2025年一级注册结构工程师常考知识点2025-02-17
- 2025年二级注册结构工程师高频知识点2025-02-17
- 2024年度二级注册结构工程师专业考试资料:规范、标准、规程2024-08-13
- 2024年度一级注册结构工程师专业考试资料:规范、标准、规程2024-08-13
- 环球网校双11预售开启!定金百倍膨胀,直播再返现金2023-10-25
- 环球网校结构工程师双11活动来啦,限时优惠!2023-10-25
- 注册结构工程师考试大纲下载2023-05-16
- 2023年一级注册结构工程师考试大纲内容2023-04-14
- 2023年结构工程师教材内容变动对比2023-04-10