[结构工程师]结构力学几何组成分析例题-9
更新时间:2010-11-23 10:03:26
来源:|0
浏览
收藏
结构工程师报名、考试、查分时间 免费短信提醒
[例3—2] 图3—2a所示为半径为R的等截面圆弧形曲杆,杆的横截面为矩形,高度为h,宽度为b,材料的弹性模量为E,剪变模量G=0.4E。试求B点的竖向位移ΔBV。要求同时考虑弯曲变形、轴向变形、剪力变形的影响,并比较各部分对位移影响的大小。计算中不考虑杆件曲率的影响。

图3-2
[解] (1)虚设状态如图3—2a所示。
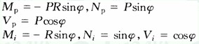
(2)实际状态和虚设状态中任意截面C的内力方程为

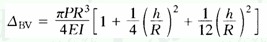
(3)将各内力方程及ds=Rdφ代人式(3—4),积分后得:

将k=1.2,G=0.4E代人上式,得
![]()
上式等号右边括号内的第一、第二、第三项分别为弯曲变形、轴向变形、剪切变形对 位移的影响。可见,当h/R较小时,轴向变形、剪切变形对位移的影响相对于弯曲变形对位移的影响甚小,通常可忽略不计。所得结果为正,表示B点竖向位移的实际方向与Pi=1的指向相同。
2010结构工程师考试成绩查询汇总 2010年结构工程师考后交流正热
2011结构工程师考试辅导招生简章 2011年度结构工程师考试时间确定
编辑推荐
最新资讯
- 2025年二级结构工程师考试都是选择题吗?题型分布与备考策略全解析2025-10-30
- 2025年一级注册结构工程师模拟题终极指南:高效备考冲刺全攻略2025-10-30
- 2025年二级结构工程师专业考试模拟题解析,免费下载!备考冲刺必备资料2025-10-29
- 注册结构工程师模拟考试题2023-04-23
- 一级注册结构工程师模拟题下载2023-04-21
- 一级注册结构工程师模拟题2023-04-20
- 2022年一级注册结构工程师试题2022-04-11
- 2021年注册结构工程师考前复习练习题汇总(含模拟题、历年真题)2021-09-28
- 2021年二级注册结构工程师专业考试冲刺试题及答案(十)2021-09-16
- 2021年二级注册结构工程师专业考试冲刺试题及答案(九)2021-09-15