[结构工程师]结构力学考点辅导第一节-26
更新时间:2010-11-23 10:06:11
来源:|0
浏览
收藏
结构工程师报名、考试、查分时间 免费短信提醒
(四)图形相乘法
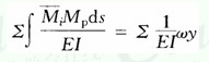
1.计算公式及其适用条件
当杆件为直杆、杆件的EI为常数,Mi和MP图中至少有一个是线性变化时,则
(3—9)
式中 ω — Mi或MP图的面积;
y — 与ω相应的弯矩图的形心位置C所对应的另一弯矩图的坐标值。

式(3—9)就是用图形相乘法的公式,应用该式时,除必须满足前述三个条件外,还应该注意下面两点: (1)当Mi、MP使杆件同一侧受拉(或受压)时,图乘结果为正,否则为负; (2)当Mi、MP图中有一个是曲线变化时,ω必须取曲线变化的弯矩图面积。
2010结构工程师考试成绩查询汇总 2010年结构工程师考后交流正热
2011结构工程师考试辅导招生简章 2011年度结构工程师考试时间确定
编辑推荐
最新资讯
- 2025年一级注册结构工程师考前实战试题解析:突破考试瓶颈的终极指南‌2025-10-13
- 2025年一级注册结构工程师常考知识点2025-02-17
- 2025年二级注册结构工程师高频知识点2025-02-17
- 2024年度二级注册结构工程师专业考试资料:规范、标准、规程2024-08-13
- 2024年度一级注册结构工程师专业考试资料:规范、标准、规程2024-08-13
- 环球网校双11预售开启!定金百倍膨胀,直播再返现金2023-10-25
- 环球网校结构工程师双11活动来啦,限时优惠!2023-10-25
- 注册结构工程师考试大纲下载2023-05-16
- 2023年一级注册结构工程师考试大纲内容2023-04-14
- 2023年结构工程师教材内容变动对比2023-04-10