[结构工程师]结构力学考点辅导第一节-28
更新时间:2010-11-24 09:23:31
来源:|0
浏览
收藏
结构工程师报名、考试、查分时间 免费短信提醒
四、静定结构由于温度变化及杆件长度制造误差引起的位移计算
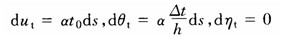
静定结构在温度变化时会产生变形,但不产生内力。计算温度变化引起的结构位移 时,通常假定温度沿杆件截面高度h是直线变化的。设杆件两侧表面的温度改变分别为t1和t2,材料的线膨胀系数为α。,则由图3—6可知微段的温度变形为
![]()
其中t0=(h1t2+h2t1)/ h,为杆件轴线处的温度改变;Δt为杆件两侧表面温度变化差的绝对值。

图3-6
应用单位荷载法,将dθt、dut、dηt代入变形体虚力方程

式中 Δit为结构的拟求位移处沿i方向由温度变化引起的位移;ωNi、ωMi分别为杆件Ni图、Mi图的面积。当Ni及t0引起的杆件轴向变形方向相同时,上式等号右边第一项为正,否则为负;当Mi及温度变化引起的杆件弯曲方向一致时,上式等号右边的第二项为正,否则为负。
2010结构工程师考试成绩查询汇总 2010年结构工程师考后交流正热
2011结构工程师考试辅导招生简章 2011年度结构工程师考试时间确定
编辑推荐
最新资讯
- 2025年一级注册结构工程师考前实战试题解析:突破考试瓶颈的终极指南‌2025-10-13
- 2025年一级注册结构工程师常考知识点2025-02-17
- 2025年二级注册结构工程师高频知识点2025-02-17
- 2024年度二级注册结构工程师专业考试资料:规范、标准、规程2024-08-13
- 2024年度一级注册结构工程师专业考试资料:规范、标准、规程2024-08-13
- 环球网校双11预售开启!定金百倍膨胀,直播再返现金2023-10-25
- 环球网校结构工程师双11活动来啦,限时优惠!2023-10-25
- 注册结构工程师考试大纲下载2023-05-16
- 2023年一级注册结构工程师考试大纲内容2023-04-14
- 2023年结构工程师教材内容变动对比2023-04-10