[结构工程师]结构力学考点辅导第一节-35
更新时间:2010-11-24 09:53:16
来源:|0
浏览
收藏
结构工程师报名、考试、查分时间 免费短信提醒
(四)计算超静定结构的内力
由力法典型方程求出各多余未知力Xi 后,将Xi 和原荷载作用在基本结构上,再根 据求作静定结构内力图的方法,作出基本结构的内力图就是超静定结构的内力图。或者也 可通过下述叠加方法,计算结构的最后内力。
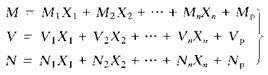
(4—2)
式中Mi、Vi、Ni分别为Xi=1引起的基本结构的弯矩、剪力、轴力;Mp、Vp、Np分别为荷载引起的基本结构的弯矩、剪力、轴力。
对梁和刚架,通常的做法是先根据式(4—2)中的第一式求出各杆端弯矩,再用直杆弯矩图的叠加法作出各杆的弯矩图,然后根据弯矩图由静力平衡条件求出各杆端的剪力和轴力,并据此作出剪力图和轴力图。
2010结构工程师考试成绩查询汇总 2010年结构工程师考后交流正热
2011结构工程师考试辅导招生简章 2011年度结构工程师考试时间确定
编辑推荐
最新资讯
- 2025年一级注册结构工程师考前实战试题解析:突破考试瓶颈的终极指南‌2025-10-13
- 2025年一级注册结构工程师常考知识点2025-02-17
- 2025年二级注册结构工程师高频知识点2025-02-17
- 2024年度二级注册结构工程师专业考试资料:规范、标准、规程2024-08-13
- 2024年度一级注册结构工程师专业考试资料:规范、标准、规程2024-08-13
- 环球网校双11预售开启!定金百倍膨胀,直播再返现金2023-10-25
- 环球网校结构工程师双11活动来啦,限时优惠!2023-10-25
- 注册结构工程师考试大纲下载2023-05-16
- 2023年一级注册结构工程师考试大纲内容2023-04-14
- 2023年结构工程师教材内容变动对比2023-04-10