[结构工程师]结构力学考点辅导第一节-43
更新时间:2010-11-26 09:26:15
来源:|0
浏览
收藏
结构工程师报名、考试、查分时间 免费短信提醒
(二)位移法典型方程及其意义
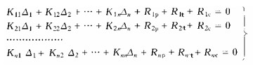
为了使基本体系与原结构的受力情况相同,可以根据基本结构在给定荷载、温度变化、支座位移和各基本未知节点位移共同作用下,各附加约束中的总约束力等于零的条件建立位移法典型方程。对于有n个未知量的结构,位移法典型方程为
(4—11)
式中 Δi为结点位移未知量(i=1、2、…、n);Kij为基本结构仅由于Δj=1(j=1、2、…、n)在附加约束i中产生的约束力,为基本结构的刚度系数;Rip、Rit、Ric分别为基本结构仅由荷载、温度变化、支座位移作用,在附加约束i中产生的约束力,为位移法典型方程的自由项。
位移法典型方程(4—11)表示静力平衡方程。其中第一个方程表示基本结构在n个未知结点位移、荷载、温度变化、支座位移等共同作用下,第一个附加约束中的约束力等于零;第二个方程表示基本结构在n个未知结点位移、荷载、温度变化、支座位移等共同作用下,第二个附加约束中的约束力等于零。其余各式的意义可按此类推。
各未知结点位移的大小和方向必须受位移法典型方程的约束,各结点位移与平衡条件 是一一对应的,故满足位移法典型方程的各未知结点位移的解是唯一真实的解。
2010结构工程师考试成绩查询汇总 2010年结构工程师考后交流正热
2011结构工程师考试辅导招生简章 2011年度结构工程师考试时间确定
编辑推荐
最新资讯
- 2025年一级注册结构工程师考前实战试题解析:突破考试瓶颈的终极指南‌2025-10-13
- 2025年一级注册结构工程师常考知识点2025-02-17
- 2025年二级注册结构工程师高频知识点2025-02-17
- 2024年度二级注册结构工程师专业考试资料:规范、标准、规程2024-08-13
- 2024年度一级注册结构工程师专业考试资料:规范、标准、规程2024-08-13
- 环球网校双11预售开启!定金百倍膨胀,直播再返现金2023-10-25
- 环球网校结构工程师双11活动来啦,限时优惠!2023-10-25
- 注册结构工程师考试大纲下载2023-05-16
- 2023年一级注册结构工程师考试大纲内容2023-04-14
- 2023年结构工程师教材内容变动对比2023-04-10