[结构工程师]结构力学考点辅导第一节-45
更新时间:2010-11-26 09:39:13
来源:|0
浏览
收藏
结构工程师报名、考试、查分时间 免费短信提醒
(四)计算结构的最后内力
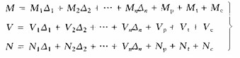
由位移法典型方程求出各未知节点位移Δi后,便可由叠加原理计算结构的最后内力:
(4—12)
式中 Mi、Vi、Ni分别为Δi=1引起的基本结构的弯矩、剪力、轴力;Mp、Mt、Mc、Vp、Vt、Vc、Np、Nt、Nc、分别为基本结构由荷载、温度变化、支座位移引起的弯矩、剪力、轴力。
对梁和刚架,通常是先根据式(4—12)中的第一式求出各杆端弯矩,再用直杆弯矩图的叠加法作出各杆弯矩图,然后根据弯矩图由静力平衡条件求出各杆端剪力和轴力,并据此作出剪力图和轴力图。
在位移法的具体计算方法方面,除了上述基本体系与典型方程法外,还可直接通过建 立结点和截面的平衡方程,得到位移法基本方程。
位移法不仅可以计算超静定结构的内力,也可以计算静定结构的内力。
2010结构工程师考试成绩查询汇总 2010年结构工程师考后交流正热
2011结构工程师考试辅导招生简章 2011年度结构工程师考试时间确定
编辑推荐
最新资讯
- 2025年一级注册结构工程师考前实战试题解析:突破考试瓶颈的终极指南‌2025-10-13
- 2025年一级注册结构工程师常考知识点2025-02-17
- 2025年二级注册结构工程师高频知识点2025-02-17
- 2024年度二级注册结构工程师专业考试资料:规范、标准、规程2024-08-13
- 2024年度一级注册结构工程师专业考试资料:规范、标准、规程2024-08-13
- 环球网校双11预售开启!定金百倍膨胀,直播再返现金2023-10-25
- 环球网校结构工程师双11活动来啦,限时优惠!2023-10-25
- 注册结构工程师考试大纲下载2023-05-16
- 2023年一级注册结构工程师考试大纲内容2023-04-14
- 2023年结构工程师教材内容变动对比2023-04-10