[结构工程师]结构力学考点辅导第一节-72
更新时间:2010-12-02 09:58:39
来源:|0
浏览
收藏
结构工程师报名、考试、查分时间 免费短信提醒
(二)单自由度体系有阻尼强迫振动
简谐荷载P(t)=Psinθt
这时运动微分方程为
![]()
上式的一般解由齐次解和特解组成。齐次解就是式( 11 - 6 -30 ) ,特解为
![]()
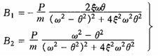
其中

由于阻尼的存在,按频率ωd振动的齐次解将逐渐衰减而最后消失。而特解按荷载频率θ 振动,它受动荷载的周期影响而不衰减,这部分又称稳态强迫振动。下面讨论稳态强迫振动。
式( 11-6-44 )可改写为



2010结构工程师考试成绩查询汇总 2010年结构工程师考后交流正热
2011结构工程师考试辅导招生简章 2011年度结构工程师考试时间确定
编辑推荐
最新资讯
- 2025年一级注册结构工程师考前实战试题解析:突破考试瓶颈的终极指南‌2025-10-13
- 2025年一级注册结构工程师常考知识点2025-02-17
- 2025年二级注册结构工程师高频知识点2025-02-17
- 2024年度二级注册结构工程师专业考试资料:规范、标准、规程2024-08-13
- 2024年度一级注册结构工程师专业考试资料:规范、标准、规程2024-08-13
- 环球网校双11预售开启!定金百倍膨胀,直播再返现金2023-10-25
- 环球网校结构工程师双11活动来啦,限时优惠!2023-10-25
- 注册结构工程师考试大纲下载2023-05-16
- 2023年一级注册结构工程师考试大纲内容2023-04-14
- 2023年结构工程师教材内容变动对比2023-04-10