结构工程师-钢筋混凝土结构辅导[17]
更新时间:2010-12-10 09:35:28
来源:|0
浏览
收藏
结构工程师报名、考试、查分时间 免费短信提醒
第三节承载能力极限状态计算
一、受弯构件
(一)正截面受弯承载力
1 基本理论
( l )基本假定
1 ) 截面应变保持平面;
2 ) 不考虑混凝土的抗拉强度;
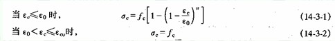
3 ) 混凝土受压的应力-应变关系为(图 14-3-1):

式中fc ? 混凝土轴心抗压强度设计值

4 )钢筋应力-应变关系
钢筋应力取等于钢筋应变与其弹性模量的乘积, 但不大于其强度设计值,受拉钢筋的极限拉应变取 0.01 ,其应力应变曲线如图 14-3-2 所示。

2010结构工程师考试成绩查询汇总 2010年结构工程师考后交流正热
2011结构工程师考试辅导招生简章 2011年度结构工程师考试时间确定
编辑推荐
最新资讯
- 2025年一级注册结构工程师考前实战试题解析:突破考试瓶颈的终极指南‌2025-10-13
- 2025年一级注册结构工程师常考知识点2025-02-17
- 2025年二级注册结构工程师高频知识点2025-02-17
- 2024年度二级注册结构工程师专业考试资料:规范、标准、规程2024-08-13
- 2024年度一级注册结构工程师专业考试资料:规范、标准、规程2024-08-13
- 环球网校双11预售开启!定金百倍膨胀,直播再返现金2023-10-25
- 环球网校结构工程师双11活动来啦,限时优惠!2023-10-25
- 注册结构工程师考试大纲下载2023-05-16
- 2023年一级注册结构工程师考试大纲内容2023-04-14
- 2023年结构工程师教材内容变动对比2023-04-10