结构工程师-钢筋混凝土结构辅导[19]
更新时间:2010-12-10 10:03:36
来源:|0
浏览
收藏
结构工程师报名、考试、查分时间 免费短信提醒
(二)单筋矩形截面受弯承载力计算与构造
1 .基本计算公式及适用条件
( 1 )计算公式

( 2 )适用条件
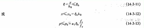
l )为防止超筋破坏,应满足

2 )为防止少筋破坏,应满足
![]()
编辑推荐
最新资讯
- 2025年一级注册结构工程师考前实战试题解析:突破考试瓶颈的终极指南‌2025-10-13
- 2025年一级注册结构工程师常考知识点2025-02-17
- 2025年二级注册结构工程师高频知识点2025-02-17
- 2024年度二级注册结构工程师专业考试资料:规范、标准、规程2024-08-13
- 2024年度一级注册结构工程师专业考试资料:规范、标准、规程2024-08-13
- 环球网校双11预售开启!定金百倍膨胀,直播再返现金2023-10-25
- 环球网校结构工程师双11活动来啦,限时优惠!2023-10-25
- 注册结构工程师考试大纲下载2023-05-16
- 2023年一级注册结构工程师考试大纲内容2023-04-14
- 2023年结构工程师教材内容变动对比2023-04-10