结构工程师-钢筋混凝土结构辅导[31]
更新时间:2010-12-14 09:27:22
来源:|0
浏览
收藏
结构工程师报名、考试、查分时间 免费短信提醒
( 3 )偏心受压构件的M-N 相关曲线
偏心受压构件受到弯矩和轴力的共同作用,轴力和弯矩对于构件的作用彼此之间相互制约,对于构件的破坏形态很有影响.

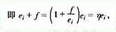
我国 《 规范 》是采用把初始偏心距 e 值乘以‘个偏心距增大系数刀来近似考虑由构件纵向弯曲变形和由结构侧移引起的二阶弯距的影响。
![]()
其中,为长柱纵向弯曲后产生的柱高中点侧向挠度值。
轴向压力对构件抗剪起有利作用。轴压力对构件抗剪承载力的有利作用是有限度的。

2010结构工程师考试成绩查询汇总 2010年结构工程师考后交流正热
2011结构工程师考试辅导招生简章 2011年度结构工程师考试时间确定
编辑推荐
最新资讯
- 2025年一级注册结构工程师考前实战试题解析:突破考试瓶颈的终极指南‌2025-10-13
- 2025年一级注册结构工程师常考知识点2025-02-17
- 2025年二级注册结构工程师高频知识点2025-02-17
- 2024年度二级注册结构工程师专业考试资料:规范、标准、规程2024-08-13
- 2024年度一级注册结构工程师专业考试资料:规范、标准、规程2024-08-13
- 环球网校双11预售开启!定金百倍膨胀,直播再返现金2023-10-25
- 环球网校结构工程师双11活动来啦,限时优惠!2023-10-25
- 注册结构工程师考试大纲下载2023-05-16
- 2023年一级注册结构工程师考试大纲内容2023-04-14
- 2023年结构工程师教材内容变动对比2023-04-10