2011年一级注册结构工程师基础考试试题及答案2
更新时间:2011-04-25 15:42:48
来源:|0
浏览
收藏
结构工程师报名、考试、查分时间 免费短信提醒
为了帮助考生系统的复习一级结构工程师课程,全面的了解结构工程师考试教材的相关重点,小编特编辑汇总了2011年一级结构工程师考试各章复习的重点资料,希望对您参加本次考试有所帮助! $lesson$


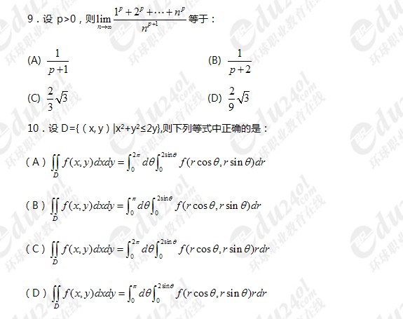
答案:
6-10 DBAAD
本篇文章来源于[环球网校] 转载请注明出处;
2010结构工程师考试成绩查询汇总 2010年结构工程师考后交流正热
2011结构工程师考试辅导招生简章 2011年度结构工程师考试时间确定
编辑推荐
最新资讯
- 2025年二级结构工程师考试都是选择题吗?题型分布与备考策略全解析2025-10-30
- 2025年一级注册结构工程师模拟题终极指南:高效备考冲刺全攻略2025-10-30
- 2025年二级结构工程师专业考试模拟题解析,免费下载!备考冲刺必备资料2025-10-29
- 注册结构工程师模拟考试题2023-04-23
- 一级注册结构工程师模拟题下载2023-04-21
- 一级注册结构工程师模拟题2023-04-20
- 2022年一级注册结构工程师试题2022-04-11
- 2021年注册结构工程师考前复习练习题汇总(含模拟题、历年真题)2021-09-28
- 2021年二级注册结构工程师专业考试冲刺试题及答案(十)2021-09-16
- 2021年二级注册结构工程师专业考试冲刺试题及答案(九)2021-09-15