2011结构工程师基础知识答疑精选18
更新时间:2011-07-13 17:10:37
来源:|0
浏览
收藏
结构工程师报名、考试、查分时间 免费短信提醒
学员问题: $lesson$
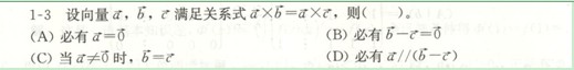
2、老师,麻烦帮解答下这道题目。

老师回答:
我们将右边的式子移到左边,a×(b-c)=0 ,则说明,a向量和(b-c)这个向量的叉乘为0,则a和(b-c)这两个向量平行。
有关此部分的知识,我们会在今年的课程中补充上去。请留意。
2010结构工程师考试成绩查询汇总 2010年结构工程师考后交流正热
2011结构工程师考试辅导招生简章 2011年度结构工程师考试时间确定
编辑推荐
最新资讯
- 2026年一级结构工程师泛滥了吗?预计发布时间与职业前景深度分析2026-01-20
- 2026年结构工程师是干嘛的?预计发布时间与职业前景全解析2026-01-20
- 2026一级注册结构工程师难考吗?预计通过率仅8%-12%,但科学备考可攻克2026-01-19
- 2026结构工程师的工作内容全解析:从蓝图设计到现场指导的全流程指南2026-01-18
- 2026年结构工程师前景及待遇全景展望:持证者年薪可达40万+,三大发展路径2026-01-17
- 2026一级结构工程师有多难?通过率仅8.3%,攻克“工程界珠峰”全攻略2026-01-16
- 2026一级结构工程师好考吗?深度剖析考试难度与通过率2026-01-14
- 2026年二级结构工程师好考吗?深度解析:通过率15%-20%,计算量大是难关2026-01-13
- 2026一级结构工程师含金量有多高?行业“天花板”,持证年薪30-60万!2026-01-12
- 2026一级结构工程师有多难?通过率仅3-5%,如何翻越“工程界珠峰”?2026-01-12