当前位置: 首页 > 监理工程师 > 监理工程师备考资料 > 监理工程师辅导资料:流水施工参数

监理工程师辅导资料:流水施工参数

更新时间:2009-12-04 09:52:25 来源:|0 浏览0收藏0

监理工程师报名、考试、查分时间 免费短信提醒

地区

获取验证 立即预约

请填写图片验证码后获取短信验证码

看不清楚,换张图片

免费获取短信验证码

  流水施工参数

  流水施工参数,包括:工艺参数、空间参数和时间参数。

  (一)工艺参数

  工艺参数主要是指在组织流水施工时,用以表达流水施工在施工工艺方面进展状态的参数,通常包括施工过程和流水强度两个参数。

  1.施工过程

  组织建设工程流水施工时,根据施工组织及计划安排需要而将计划任务划分成的子项称为施工过程。施工过程划分的粗细程度由实际需要而定,当编制控制性施工进度计划时,组织流水施工的施工过程可以划分得粗一些,施工过程可以是单位工程,也可以是分部工程。当编制实施性施工进度计划时,施工过程可以划分得细一些,施工过程可以是分项工程,甚至是将分项工程按照专业工种不同分解而成的施工工序。

  施工过程的数目一般用n 表示,它是流水施工的主要参数之一。根据其性质和特点不同,施工过程一般分为三类: 建造类施工过程、运输类施工过程和制备类施工过程。

  ①建造类施工过程

  ②运输类施工过程

  ③制备类施工过程

  建造类施工过程占有施工对象的空间,直接影响工期的长短,必须列入施工进度计划。运输类与制备类施工过程一般不占有施工对象的工作面,不影响工期,故不需要列入流水施工进度计划之中。

  2.流水强度

  流水强度是指流水施工的某施工过程(专业工作队)在单位时间内所完成的工程量,也称为流水能力或生产能力。例如,浇筑混凝土施工过程的流水强度是指每工作班浇筑的混凝土立方数。转自环球网校edu24ol.com

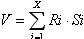
  流水强度可用公式(2—1)计算求得:      (2-1)

  式中:V——某施工过程(队)的流水强度;

  Ri——投入该施工过程中的第i种资源量(施工机械台数或工人数);

  Si——投入该施工过程中第i种资源的产量定额;

  X——投入该施工过程中的资源种类数。

  (二)空间参数

  空间参数是指在组织流水施工时,用以表达流水施工在空间布置上开展状态的参数。

  1.工作面

  工作面是指供某专业工种的工人或某种施工机械进行施工的活动空间。工作面的大小,表明能安排施工人数或机械台数的多少。

  工作面确定的合理与否,直接影响专业工作队的生产效率。

  2.施工段

  将施工对象在平面或空间上划分成若干个劳动量大致相等的施工段落,称为施工段或流水段。施工段的数目一般用m 表示,它是流水施工的主要参数之一。

  (1)划分施工段的目的

  划分施工段的目的就是为了组织流水施工。将工程体划分成若干个施工段,为组织流水施工提供足够的空间。

  在组织流水施工时,专业工作队完成一个施工段上的任务后,遵循施工组织顺序又到另一个施工段上作业,产生连续流动施工的效果。

  组织流水施工时,可以划分足够数量的施工段,充分利用工作面,避免窝工,尽可能缩短工期。

  (2)划分施工段的原则

  为使施工段划分得合理,一般应遵循下列原则:

  ①同一专业工作队在各个施工段上的劳动量应大致相等,相差幅度不宜超过 10%~15%;

  ②每个施工段内要有足够的工作面,以保证相应数量的工人、主导施工机械的生产效率,满足合理劳动组织的要求;

  ③施工段的界限应尽可能与结构界限(如沉降缝、伸缩缝等)相吻合,或设在对建筑结构整体性影响小的部位,以保证建筑结构的整体性;转自环 球 网 校edu24ol.com

  ④施工段的数目要满足合理组织流水施工的要求。施工段数目过多,会降低施工速度,延长工期;施工段过少,不利于充分利用工作面,可能造成窝工;

  ⑤对于多层建筑物、构筑物或需要分层施工的工程,应既分施工段,又分施工层。

  (三)时间参数

  主要包括流水节拍、流水步距和流水施工工期等。

  1.流水节拍

  流水节拍是指在组织流水施工时,某个专业工作队在一个施工段上的施工时间。第j 个专业工作队在第i个施工段的流水节拍一般用tj,i来表示。

  流水节拍是流水施工的主要参数之一,它表明流水施工的速度和节奏性。流水节拍小,其流水速度快,节奏感强。

  同一施工过程的流水节拍,主要由所采用的施工方法、施工机械以及在工作面允许的前提下投入施工的工人数、机械台数和采用的工作班次等因素确定。

  流水节拍可分别按下列方法确定:

  (1)定额计算法

  已有定额标准时,可按公式(2—2)或公式(2—3)确定流水节拍。

  (2)经验估算法

  2.流水步距

  流水步距是指组织流水施工时,相邻两个施工过程(或专业工作队)相继开始施工的最小间隔时间。流水步距一般用Kj,j+1来表示,其中j(j =1,2,……,n-1)为专业工作队或施工过程的编号。

  如果施工过程数为n个,则流水步距的总数为n-1个。

  确定流水步距时,一般应满足以下基本要求:

  ①各施工过程按各自流水速度施工,始终保持工艺先后顺序;

  ②各施工过程的专业工作队投入施工后尽可能保持连续作业;

  ③相邻两个施工过程(或专业工作队)在满足连续施工的条件下,能最大限度地实现合理搭接。

  3.流水施工工期

  流水施工期是指从第一个专业工作队投入流水施工开始,到最后一个专业工作队完成流水施工为止的整个持续时间。

查看更多内容>>   监理工程师考试频道     监理工程师考试论坛  监理工程师课程免费试听

·2010年监理工程师考试网上辅导招生简章推出
·04、05、06、07、08年监理工程师考试试卷及答案汇总
·2010年全国注册监理工程师考试报名时间汇总
·网校09年监理工程师考试网上辅导通过率高达89.5%

分享到: 编辑:环球网校

资料下载 精选课程 老师直播 真题练习

监理工程师资格查询

监理工程师历年真题下载 更多

监理工程师每日一练 打卡日历

0
累计打卡
0
打卡人数
去打卡

预计用时3分钟

监理工程师各地入口
环球网校移动课堂APP 直播、听课。职达未来!

安卓版

下载

iPhone版

下载

返回顶部