2010年监理工程师《质量、投资、进度控制》测试题(150)
更新时间:2010-05-11 14:49:19
来源:|0
浏览
收藏
监理工程师报名、考试、查分时间 免费短信提醒
1.当工程建设征用集体所有土地(耕地)时,用地单位应向土地所有者支付( )等费用。
A.土地出让金
B.土地补偿费
C.青苗补偿费
D.安置补助费
2.建安工程直接工程费中的人工费主要包括( )。
A.生产工人的基本工资
B.管理人员的基本工资
C.生产人员的工资性补贴
D.生产人员的劳动保护费
E.生产人员的养老保险费
3.在工程量清单项目表的编制过程中,工程量计算的依据是( )。
A.设计图纸
B.工程定额
C.项目编号
D.工程量计算规则
4.《建设工程工程量清单计价规范》规定承包商在填写工程量清单时,( )。
A.每一计价项目均需填写单价和合价
B.单价采用工料单价
C.单价采取综合单价形式
D.不得随意删除或涂改工程量清单
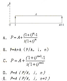
5.某项目的现金流量图如图所示,则下列关系中成立的有( )。

查看更多内容>> 监理工程师考试频道 监理工程师考试论坛 监理工程师课程免费试听
·2011年监理工程师考试网上辅导招生简章推出
·04、05、06、07、08、09年监理工程师考试试卷及答案汇总
·网校09年监理工程师考试网上辅导通过率高达89.5%
编辑推荐
最新资讯
- 2026年监理工程师《目标控制-交通运输工程》随堂练习题2026-01-29
- 2026年注册监理工程师《目标控制(土建)》考试题目及答案2026-01-23
- 2026年监理工程师《建设工程监理基本理论和相关法规》备考试题2026-01-16
- 2026年监理工程师《合同管理》考试免费题库2026-01-09
- 2026年注册监理工程师《案例分析-交通运输工程》章节题2025-12-29
- 2026年监理工程师考试《案例分析-土木建筑》模拟题2025-12-29
- 2026年监理考试《目标控制-交通运输工程》精选题2025-12-24
- 2026年监理工程师考试《目标控制-水利工程》精选练习题2025-12-24
- 2026年监理工程师《目标控制-土建》章节习题2025-12-18
- 2026年监理工程师考试《理论与法规》课后习题2025-12-18