2014监理工程师考试《进度控制》模拟卷(第三套)
第一章 建筑施工组织与进度控制概述
( D )1、建筑产品的 性决定了建筑产品生产的流动性。
A 多形性 B 体型庞大性 C 复杂性 D 空间上的固定性
( B )2、建筑产品地点的固定性和类型的多样性,决定了建筑产品生产的 。
A 流动性 B 个别性 C 综合复杂性 D 地域性
( A )3、以一个项目或一个建筑群为编制对象的施工组织设计是 。
A 施工组织总设计 B 单位工程施工组织设计
C 分部工程施工作业设计 D分项工程施工作业设计
(C)2、施工项目的范围是
A 一个建设项目的全部施工任务 B 一个单项工程的施工任务
C 由工程承包合同界定
( C )3、 的划分应按专业性质、建筑部位确定。
A 分项工程 B 单位工程 C 分部工程
( B)3、具备独立施工条件,并能形成独立使用功能的建筑物及构筑物称为
A 单项工程 B 单位工程 C 分部工程
( B )4、勘察设计属于基本建设程序中
A 项目决策阶段 B 建设准备阶段 C 工程实施阶段
( A )4、可行性研究属于基本建设程序中 P2
A 项目决策阶段 B 建设准备阶段 C 工程实施阶段
( A)5、施工单位承接业务的主要方式是
A通过投标而中标 B 国家或上级主管部门直接下达 C 受建设单位委托
( B )6、项目竣工验收是由 组织进行的。P3
A 施工单位 B 建设单位 C 工程勘察单位
( B )8、以某一专项技术(如重要的安全技术、质量技术、高新技术)为编制对象,用以指导施工的综合性文件成为
A 施工组织总设计 B 分部分项工程施工组织设计 C 专项施工组织设计
编辑推荐:
2014年注册监理工程师考试报名专题
2014年监理工程师考试网上辅导招生简章
2004-2013监理工程师考试历年真题及答案汇总
第二章 流水施工原理
( A )12、采用 组织方式,每天投入的资源较少,施工现场管理简单,便于组织和安排。
A 依次施工 B 平行施工 C 流水施工 P130
( C )12、采用 组织方式,能充分利用工作面,工期最短,但资源需求集中。
A 依次施工 B 平行施工 C流水施工
( B)12、采用 组织方式工期最短,资源供应集中,施工管理困难,施工成本较高。
A 依次施工 B 平行施工 C 流水施工 D 搭接施工
( B )13、流水施工参数中的施工段数属于
A 工艺参数 B 空间参数 C时间参数
( A )13、在组织流水施工时,用以表达流水施工中施工工艺上开展顺序及其特征的参数,称为 。
A 工艺参数 B 空间参数 C 时间参数
( B )14、同一施工过程流水节拍相等,不同施工过程之间的流水节拍存在整数倍(或公约数)关系的流水施工方式是
A 等节奏流水施工 B 等步距异节拍流水施工 C异步距异节拍流水施工
( A )14、同一施工过程流水节拍相等,不同施工过程之间的流水节拍也相等的流水施工方式是
A 等节奏流水施工 B 异节奏流水施工 C 非节奏流水施工
( A )29、从事某施工过程的专业班组在一个施工段上完成施工任务所需的时间,称为 。
A 流水节拍 B 流水步距 C 流水组工期 D 工程工期
( B )38、某工程施工所需劳动量为610工日,要求在20天内完成,采用一班制施工,则每班安排的工人数至少为 。610/(20*1)
A 30人 B 31人 C 610人 D 20人
第三章 网络计划技术
( B )15、在双代号网络计划中, 是关键工作。
A 自由时差最小 B 总时差最小 C总时差为零 D 自由时差为零
( B )15、在单代号网络计划中, 是关键工作。
A 自由时差最小 B 总时差最小 C 总时差为零 D 总是差最大
( C )16、时标网络计划中以 表示工作的自由时差。
A 实箭线 B虚箭线 C 波形线 D 直线
( C )22、网络计划的表达方式是
A 横道图 B 工艺流程图 C 网络图
( C )23、双代号网络计划中,只表示前后相邻工作的逻辑关系,既不占用时间,也不好用资源。
A 紧前工作 B 紧后工作 C 虚工作
( C )30、网络图是指由箭线和节点组成的,用来表示工作流程的 的网状图形。
A 有向 B 有序 C 有向、有序 D 双代号
( A )32、下列叙述正确的是 。
A 一个网络图中关键线路至少有一条
B 关键线图确定以后是不变的
C 线路上总的工作持续时间最短的线路是关键线路
D 在非关键线路上就没有关键工作
( D )33、在不影响总工期的前提下,本工作可以利用的机动时间,称为 。
A 自由时差 B 最早可能开始时间 C 最短必须开始时间 D 总时差
( C )38、横道图进度计划法是传统的进度计划方法,下列关于横道图的表述中正确的是
A 工序之间的逻辑关系能够清楚的表达
B 能够确定计划的关键工作、关键线路和时差
C 计划的调整只能用手工方式进行,工作量大
D 可以适应于大型项目的进度计划系统
( A )39、我国常用的工程网络计划中,以箭线及其两端节点的编号表示工作的网络图称为
A 双代号网络图 B 单代号网络图
C 事件节点网络图 D 单代号搭接网络图
( A )40、双代号网络计划中既有内向箭线,又有外向箭线的节点称为 。
A 中间节点 B 起点节点 C 终点节点 D 交叉节点
编辑推荐:
2014年注册监理工程师考试报名专题
2014年监理工程师考试网上辅导招生简章
2004-2013监理工程师考试历年真题及答案汇总
( C )41、在双代号网络图中,需要应用虚箭线来表示工作之间的 。
A 时间间歇 B 搭接关系 C 逻辑关系 D 自由时差
( D )42、在双代号网络图绘制过程中,要遵循一定的规则和要求,下列叙述正确的是
A 必须要有一条以上的虚箭线
B 允许出现循环回路
C 不能出现交叉箭线
D 一个起点节点和一个终点节点
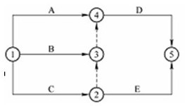
( D )43、某双代号网络图有A、B、C、D、E五项工作,如下图所示,下列有关工作逻辑关系的选项中,正确的是 。
A 工作A、B完成后,D才能开始

B 工作B、C完成后,E才能开始
C 工作A、B、C完成后,E才能开始
D 工作A、B、C完成后,D才能开始
(C)44、某分部工程双代号网络图如下图所示,图中错误的是 。

A 存在循环回路 B 节点编号有误
C 存在多个起点节点 D 存在多个终点节点
( A )46、双代号时标网络计划能够在图上直接显示出计划的时间进程及各项工作的 。
A 最早开始和最早完成时间 B 总时差和自由时差
C 计划成本构成 D 实际进度偏差
( D )47、双代号时标网络计划是以时间坐标为尺度编制的网络计划,网络图中以波形线表示工作的 。
A 逻辑关系 B 关键线路 C 总时差 D 自由时差
(B)48、下图为某工程的双代号时标网络计划,如果工作B、E、G使用同一台施工机械并依次施工,则图中该施工机械的总的闲置时间为 天。
A 1 B 2

C 3 D 4
( B )49、单代号网络计划与双代号网络计划相比,具有的特点是 。
A 工作逻辑关系不易表达 B 不出现虚箭线
C 工作持续时间表示直观 D 节点编号必须连续
( B )50、在编制双代号时标网络计划时,如果先计算各工作的最早时间参数,再根据最早时间参数在时标计划表上确定节点位置,连线完成。这样的编制方法称为 。
A 直接法绘制 B 间接法绘制
C 分段法绘制 D 连续法绘制
编辑推荐:
2014年注册监理工程师考试报名专题
2014年监理工程师考试网上辅导招生简章
2004-2013监理工程师考试历年真题及答案汇总
( D )51、当单代号网络图中有多项起点节点时,正确的作法是 。
A 调整多项起点节点的逻辑关系 B 合并多项起点节点作为起点节点
C 多项起点节点采用相同的编号 D 设置一项虚工作作为起点节点
( C )52、如果工作A、B两项工作的最早开始时间分别为6天和7天,它们的持续时间分别为4天和5天,则它们共同紧后工作C的最早开始时间为 。
A 10 B 11 C 12 D 13
( A )53、在双代号网络计划中,某工作有三项紧后工作,它们的最迟开始时间分别为第18天、第21天和第22天。如果该工作的持续时间为4天,则其最迟开始时间为 天。
A 14 B 15 C 18 D 24 P56
第四章 施工准备工作
( A )9、以整个建设项目为对象而进行的各项施工准备工作是
A 施工总准备 B 单项工程施工条件准备 C 分部(分项)工程作业条件准备
( A )9、熟悉和会审图纸属于 准备工作。
A 技术资料 B 资源 C 施工现场 D 季节性
( B )9、搭设施工现场临时设施是 现场准备工作。
A 建设单位 B 施工单位 C 监理单位
( C )10、对地方资源的调查分析是属于
A 自然条件调查分析 B 技术经济条件调查分析 C 其他相关信息与资源调查分析
( A )11、图纸会审一般由 组织并主持会议。 P97
A 建设单位 B 施工单位 C 监理单位
( A )26、施工现场内的一切地上、地下障碍物在开工前拆除,这项工作一般由 负责来完成。 P99
A 建设单位 B 施工单位 C 监理单位 D 拆建办
( C )27、“三通一平”是施工现场准备工作的主要内容,其中“一平”是指 。
A 道路平坦 B 抄平放线 C 平整场地 D 土方平整
( B )28、工程项目开工前,已做好了各项施工准备工作,施工单位提交开工报告及有关证明文件,由 签发就可以开工。
A 建设单位 B 总监理工程师 C 监理单位 D 工程质量监督站
编辑推荐:
2014年注册监理工程师考试报名专题
2014年监理工程师考试网上辅导招生简章
2004-2013监理工程师考试历年真题及答案汇总
第五章 单位工程施工组织设计
( D )1、下列不属于施工组织设计必须包括的内容的是
A 施工进度计划表 B 施工总平面布置图 C 施工方案 D 资源分配表
( A)17、排水工程的施工顺序一般采用
A 自下游到上游 B 自上游到下游 C 先自下游到中间,再自中间而上游
( C )18、施工组织总设计是以 为编制对象。
A 一个工程项目 B 一个单位工程 C 一个建设项目或建筑群
( C )18、单位工程施工组织设计以一个 为编制对象。 P8
A 建设项目 B 单项工程 C 单位工程 D 分部工程
( C )19、单位工程施工组织设计一般由施工单位的 负责完成。 P112
A 总工程师 B 工程项目主管工程师 C 项目经理
( B )20、项目管理规划大纲是由 在投标之前编制的,作为投标依据,满足招标文件要求及签订合同要求的文件。
A 项目经理部 B 企业管理层 C 项目主管工程师
( B )21、项目竣工验收是由 组织进行的。
A 施工单位 B 建设单位 C 工程勘察单位
( B )24、单位施工组织设计是以 为编制对象。
A 一个工程项目 B 一个单位工程 或一个不复杂的单项工程 C 一个建设项目或建筑群
( B )25、施工项目管理的主体是()
A 建设单位 B 施工单位 C 监理单位 D 设计单位
( C )34、组织和指导单位工程施工全过程各项活动的单位工程施工组织设计,必须在工程 编制完成。
A 开工后 B 施工前 C 开工前 D 投标前
( B )35、某钢筋混凝土框架结构主体工程施工,钢筋工程完成后必须对其进行 。
A 技术复核 B 隐蔽工程检查验收 C 技术交底 D 结构工程中间验收
( D )36、防止大气污染、水污染、光污染、噪声污染措施是属于 。
A 安全施工保证措施 B 质量保证措施
C 文明施工保证措施 D 施工现场环境保证措施
( C )37、某工程施工外墙装饰有A、B、C三种做法,其工程量分别为a m2,b m2,c m2,采用的劳动定额分别为c m2/工日,f工日/m2,g m2/工,则此工程外墙装饰的综合时间定额为 工日/m2。
A (a+b+c)/(a/c+bf+c/g) B (a+b+c)/(a/c+b/f+c/g)
C (a/c+b/f+c/g)/(a+b+c) D (a/c+bf+c/g)/(a+b+c)
第六章 建筑施工进度控制
( B)1、建设工程进度控制工作包括了大量的组织和协调工作,组织和协调的重要手段之一是 。
A 信息技术 B 会议 C 合同 D 风险分析
(C )2、建筑工程施工有三大目标控制,下列不属于三大控制目标的是 。
A 质量控制 B 进度控制 C 安全控制 D 投资控制
( 对 )1、在交工验收前,施工单位内部应先进行验收,检查各分部分项工程的施工质量。
( 错 )2、工艺参数是指在组织流水施工时,用以表达流水施工在施工工艺上进展状况的参数,包括施工过程数、工作面和流水强度三个参数。 P19 P20
( 对 )3、网络计划能明确表达各项工作之间的逻辑关系。
( 错 )4、施工项目管理规划大纲所由项目经理部在投标前负责编制的。应是企业管理层
( 对 )5、利用工作的自由时差不会影响紧后工作的最早开始时间。
( 对)6、单位工程的开工必须严格执行开工报告制度。
( 对 )7、建筑施工绝大部分工作是露天作业,受天气影响较大,因此必须从实际情况出发,选择正确的施工方法,采取必要的措施,切实可行地做好季节施工准备工作十分重要。
( 错)8、任何工程施工都必须遵循“四先四后”的原则。
( 对 )9、为了全面贯彻施工组织设计必须推行项目经理责任制。
( 对 )10、由于台风的影响导致施工工期延长,施工单位有权提出工程延期的申请。
( 错 )1、基本建设程序中,准备阶段主要是完成可行性研究报告和编制计划任务书。
( 对 )2、流水节拍是指在组织流水施工时,某个专业工作队在一个施工段上的施工时间
(错)3、利用工作的总时差不会影响紧后工作的最早开始时间。
( 错 )4、在网络计划中,任何一项工作完成时间的拖延都会导致工期的延期。
( 对 )5、施工图纸会审纪要作为与施工图具有同等法律效力的技术文件使用,并成为指导施工项目施工及进行施工项目结算的依据。
( 对 )6、施工现场内已知一切地上、地下障碍物,都应在工程项目开工前拆除。P99
( 错 )7、施工项目管理规划大纲所由项目经理部(应是企业管理层)在投标前负责编制的。
( 错)8、在施工组织设计过程中,要从突出“组织”的角度出发,重点编好施工方案、施工进度计划、技术组织措施三大内容。应是施工总平面图
( 错 )9、施工起点流向是指拟建工程在平面上(或空间上)施工开始的部位和开展的方向。
(对)10、如果由于承包单位自身的原因造成工期拖延,而承包单位又未按照建立工程师的指令改变延期状态时,通常可以采用下列手段进行处理:(1)拒绝签署付款凭证;(2)误期赔偿损失;(3)取消承包资格。
编辑推荐:
2014年注册监理工程师考试报名专题
2014年监理工程师考试网上辅导招生简章
2004-2013监理工程师考试历年真题及答案汇总
最新资讯
- 2026年监理工程师《目标控制-交通运输工程》随堂练习题2026-01-29
- 2026年注册监理工程师《目标控制(土建)》考试题目及答案2026-01-23
- 2026年监理工程师《建设工程监理基本理论和相关法规》备考试题2026-01-16
- 2026年监理工程师《合同管理》考试免费题库2026-01-09
- 2026年注册监理工程师《案例分析-交通运输工程》章节题2025-12-29
- 2026年监理工程师考试《案例分析-土木建筑》模拟题2025-12-29
- 2026年监理考试《目标控制-交通运输工程》精选题2025-12-24
- 2026年监理工程师考试《目标控制-水利工程》精选练习题2025-12-24
- 2026年监理工程师《目标控制-土建》章节习题2025-12-18
- 2026年监理工程师考试《理论与法规》课后习题2025-12-18