2015年监理工程师考试《进度控制》复习题1
选择题
1、建立进度计划审核制度和进度计划实施中的检查分析制度属于监理工程师实施进度控制的( )。
A:技术措施
B:合同措施
C:组织措施
D:经济措施
答案:C
解析:进度控制的组织措施主要包括:(1)建立进度控制目标体系,明确建设工程现场监理组织机构中进度控制人员及其职责分工;(2)建立工程进度报告制度及进度信息沟通网络;(3)建立进度计划审核制度和进度计划实施中的检查分析制度;(4)建立进度协调会议制度,包括协调会议举行的时间、地点,协调会议的参加人员等;(5)建立图纸审查、工程变更和设计变更管理制度。
2、监理工程师受建设单位委托对某建设工程设计和施工实施全过程监理时,应( )。
A:审核设计单位和施工单位提交的进度计划,并编制总进度计划
B:编制设计进度计划,审核施工进度计划,并编制工程年、季、月实施计划
C:编制设计进度计划和施工总进度计划,审核单位工程施工进度计划
D:审核设计单位和施工单位提交的进度计划,并编制监理总进度计划及其分解计划
答案:D
解析:在设计阶段和施工阶段,监理工程师不仅要审查设计单位和施工单位提交的进度计划,更要编制监理进度计划,以确保进度控制目标的实现。
3、横道计划作为控制建设工程进度的方法之一,其局限性是不能( )。
A:反映出建设工程实施过程中劳动力的需求量
B:明确反映出各项工作之间错综复杂的相互关系
C:反映出建设工程实施过程中材料的需求量
D:直观地反映出建设工程的施工期限
答案:B
解析:横道图表示工程进度计划,存在下列缺点:(4点)(1)不能明确地反映出各项工作之间错综复杂的相互关系,因而在计划执行过程中,当某些工作的进度由于某种原因提前或拖延时,不便于分析其对其他工作及总工期的影响程度,不利于建设工程进度的动态控制。
4、建设工程组织流水施工时,用来表达流水施工在施工工艺方面的状态参数有( )。
A:施工段
B:流水步距
C:间歇时间
D:施工过程
答案:D
解析:工艺参数主要是指在组织流水施工时,用以表达流水施工在施工工艺方面进展状态的参数,通常包括施工过程和流水强度两个参数。
5、考虑建设工程的施工特点、工艺流程、资源利用、平面或空间布置等要求,可以采用不同的施工组织方式。其中,有利于资源供应的施工组织方式是( )。
A:依次施工和平行施工
B:平行施工和流水施工
C:依次施工和流水施工
D:平行施工和搭接施工
答案:C
解析:依次施工的特点:(4)单位时间内投入的劳动力、施工机具、材料等资源量较少,有利于资源供应的组织;流水施工的特点:(4)单位时间内投入的劳动力、施工机具、材料等资源量较为均衡,有利于资源供应的组织。
6、某道路工程划分为3个施工过程在4个施工段组织加快的成倍节拍流水施工,流水节拍值分别为6、6、4天,该工程的流水施工工期为( )天。
A:28
B:22
C:16
D:14
答案:B
解析:流水步距等于流水节拍[6,6,4]的最大公约数,即:K= 2工作队数为 n’= 6/2+6/2+4/2 = 3+3+2 =8工期为 T=(m+ n’-1)K=(4+8-1)×2=22天。
7、某分部工程有两个施工过程,分为4个施工段组织流水施工,流水节拍分别为2、4、3、4和3、4、5、3天,则流水步距和流水施工工期分别为( )天。
A:2和17
B:3和17
C:3和18
D:4和18
答案:C
解析:采用累加数列错位相减取大差法计算流水步距。

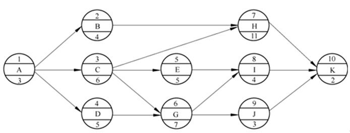
8、某工程单代号网络计划如下图所示,其关键线路有( )条。

A: 4
B: 3
C: 2
D:1
答案:C
解析:1)通过计算时间间隔来判定关键线路,时间间隔为零的线路即为关键线路;2)通过直接观察法判定,计算各条线路工作持续时间之和选最大者。如:A-B-H-K: 3+4+11+2=20; A-C-H-K: 3+6+11+2=22; A-C-E-I-K: 3+6+5+4+2=20; A-C-G-I-K: 3+6+7+4+2=22; A-C-G-J-K: 3+6+7+3+2=21; A-D-G-I-K: 3+5+7+4+2=21; A-D-G-J-K: 3+5+7+3+2=20
9、在工程网络计划中,关键线路是指( )的线路。
A:双代号时标网络计划中无波形线
B:单代号搭接网络计划中时距总和最大
C:双代号网络计划中由关键节点组成
D:单代号网络计划中由关键工作组成
答案:A
解析:时标网络计划中的关键线路可从网络计划的终点节点开始,逆着箭线方向进行判定。凡自始至终不出现波形线的线路即为关键线路。因为不出现波形线,就说明在这条线路上相邻两项工作之间的时间间隔全部为零,也就是在计算工期等于计划工期的前提下,这些工作的总时差和自由时差全部为零。
10、下列关于工程网络计划关键工作的表述中,正确的是( )。
A:单代号搭接网络计划中关键工作与其紧后工作之间的搭接时距最长
B:单代号网络计划中关键工作与其紧后工作之间的时间间隔为零
C:工程网络计划中关键工作的自由时差与总时差全部为零
D:双代号网络计划中关键工作两端的节点必为关键节点
答案:D
解析:在双代号网络计划中,关键线路上的节点称为关键节点。关键工作两端的节点必为关键节点,但两端为关键节点的工作不一定是关键工作。
温馨提示:各位考友可进入监理工程师考试交流群:398458694,或进入监理工程师考试论坛与广大考友一起学习交流。
编辑推荐:
最新资讯
- 2026年监理工程师《目标控制-交通运输工程》随堂练习题2026-01-29
- 2026年注册监理工程师《目标控制(土建)》考试题目及答案2026-01-23
- 2026年监理工程师《建设工程监理基本理论和相关法规》备考试题2026-01-16
- 2026年监理工程师《合同管理》考试免费题库2026-01-09
- 2026年注册监理工程师《案例分析-交通运输工程》章节题2025-12-29
- 2026年监理工程师考试《案例分析-土木建筑》模拟题2025-12-29
- 2026年监理考试《目标控制-交通运输工程》精选题2025-12-24
- 2026年监理工程师考试《目标控制-水利工程》精选练习题2025-12-24
- 2026年监理工程师《目标控制-土建》章节习题2025-12-18
- 2026年监理工程师考试《理论与法规》课后习题2025-12-18