2015年监理工程师《进度控制》第三章考点冲刺二
相关推荐: 《质量控制》电子版教材
第二节 网络图的绘制一、双代号网络图的绘制规则
(1)网络图必须按照已定的逻辑关系绘制。

(2)网络图中严禁出现从一个节点出发,顺箭头方向又回到原出发点的循环回路。

(3)网络图中的箭线(包括虚箭线)应保持自左向右的方向,不应出现箭头指向左方的水平箭线和箭头偏向左方的斜向箭线。
(4)网络图中严禁出现双向箭头和无箭头的连线。
(5)网络图中严禁出现没有箭尾节点的箭线和没有箭头节点的箭线。图3-7即为错误的画法。

(6)严禁在箭线上引入或引出箭线,图3-8即为错误的画法。

但当网络图的起点节点有多条箭线引出(外向箭线)或终点节点有多条箭线引入(内向箭线)时,为使图形简洁,可用母线法绘图。

(7)应尽量避免网络图中工作箭线的交叉。当交叉不可避免时,可以采用过桥法或指向法处理,如图3-10所示。
(8)一幅网络图中应只有一个起点节点和一个终点节点。
二,单、双代号网络图的绘制(略讲)
【例题1】某分部工程双代号网络计划如下图所示,图中错误为()。

A.节点编号有误
B.工作代号重复
C.多个起点节点
D.多个终点节点
E.存在循环回路
答案:A、D、E
解析:工作9-5,工作9-8错,节点编号有误;
⑧节点,⑩节点为终点节点,多个终点节点;
存在循环回路:⑤-⑥-⑨-⑤。
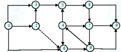
【例题2】某分部工程双代号网络计划如下图所示,图中错误为()。

A. 多个起点节点
B. 多个终点节点
C. 节点编号有误
D. 存在循环回路
E. 工作代号重复
答案:C、D、E
解析:工作8-7,工作9-4,工作9-9错;节点9编号重复;
存在循环回路:④-⑦-⑨-④。
温馨提示:各位考友可进入监理工程师考试论坛与广大考友一起学习交流。
编辑推荐:
最新资讯
- 助力速抢!监理工程师2026新教材0元包邮免费领,附全套备考资料2026-04-01
- 速领!2026监理工程师新教材0元免费送,全套备考资料助力一次通关2026-04-01
- 免费下载!2026监理工程师《理论与法规》高频考点全解析:核心法规与真题精粹2026-03-23
- 2026年度监理工程师理论与法规复习笔记2025-10-17
- 2026年监理工程师《合同管理》重要知识点总结2025-10-17
- 高效备考!2026年监理考点精讲试听课正式上线,专治“零基础没方向”“老考生卡瓶颈”!2025-09-17
- 免费下载!监理工程师考试各科目易错知识点2025-09-17
- 2026年监理备考:历年真题+新生备考大礼包,均可领取!2025-09-17
- 2026监理工程师《合同管理》考试知识点:定金2025-09-05
- 2026监理工程师《理论法规》考试知识点:全过程工程咨询实施策略2025-09-05