2012年财务与会计 预习指导:第一章(4)
第 三 节 财务管理价值观念$lesson$
一、资金时间价值
资金时间价值含义:
理解:一定量资金随着时间推移而发生的增值。
概念:投资者在没有投资风险的情况下进行投资而获得的报酬。
【例题1?单选题】
下列哪些指标可以用来表示资金时间价值( )。
A.有投资风险的条件下,投资者因投资而获得的报酬
B.在没有投资风险的情况下进行投资而获得的报酬
C.投资报酬率超过通货膨胀率的差额
D.风险报酬率
【答案】B
【解析】在有投资风险的条件下,投资者因投资而获得的报酬除了包含资金时间价值以外,还包含了有投资风险价值。
(一)资金时间价值的基本计算(终值、现值的计算)
关注:
利息的两种计算方式
单利计息方式:只对本金计算利息(各期的利息是相同的)。
复利计息方式:既对本金计算利息,也对前期的利息计算利息(各期利息不同)。
【提示】考试如果不特指,都按照复利计息方式计算。
1.复利终值和复利现值
|
项目 |
基本公式 |
|
终值F |
F=P ×(1+r)n 其中(1+r)n称为复利终值系数,记为FV r,n |
|
现值P |
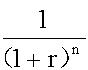
P=F/(1+r)n 其中1/(1+r)n称为复利现值系数,记为PVr,n |
①终值的计算
【教材例2】
某工厂年初把暂时闲置的资金20万元存入银行,年利率5%;则两年底的复利终值:
F=P(1+r)2=20×(1+5%)2=22.05(万元);
三年底的复利终值是:F=P(1+r)3=20×(1+5%)3=23.15(万元)

②现值的计算
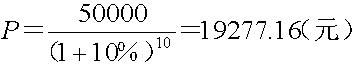
【教材例4】
某企业想要在十年底得到一笔50000元的款项,年利率10%,按复利计算,则现在需要在银行存入的款项金额为:


结论:
(1)复利的终值和现值互为逆运算。
(2)复利的终值系数 和复利的现值系数
互为倒数。
【例题2?单选题】
某企业于年初存入银行10000元,假定年利息率为12%,每年复利两次.已知(F/P,6%,5)=1.3382,(F/P,6%,10)= 1.7908,(F/P,12%,5)=1.7623,(F/P,12%,10)=3.1058,则第5年末的本利和为( )元。
A. 13382 B. 17623
C. 17908 D. 31058
【答案】C
【解析】第5年末的本利和=10000×(F/P,6%,10)=17908(元)。
最新资讯
- 2025年税务师考前几页纸,再看一遍,上考场!2025-11-14
- 考前回顾!2025年税务师税法二52个必背公式2025-11-13
- 考前强化记忆!2025年税务师税法一87个必背公式2025-11-12
- 考前慌到失眠?2025年税务师《财务与会计》33个 “救命考点” 速记,看完心里有底了2025-11-05
- 考前救命!2025年税务师《涉税服务相关法律》31个考点熬夜速记2025-11-05
- 2025年税务师《涉税服务实务》考前19个速记考点公布2025-11-05
- 最后10天!2025年税务师税法二考前14个考点速记~背起来2025-11-05
- 抢分必备!2025年税务师税法一考前35个考点速记,抓紧打印2025-11-05
- 熬夜也要背!2025年税务师5科考前几页纸2025-10-15
- 干货合集!2025年税务师考试冲刺资料:考前几页纸+模拟卷+历年真题+公式汇总2025-10-14