2010年经济师《初级金融》预习辅导:第一章(5)
更新时间:2009-11-20 10:47:31
来源:|0
浏览
收藏
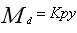
三、剑桥学派的货币需求理论??剑桥方程式转自环 球 网 校edu24ol.com
1.剑桥方程式为:
![]()
其中,Md——名义货币总需求
K ——代表以货币形式保存的财富占名义总收入的比例
P ——表示为价格水平
Y ——表示为总收入
2.剑桥方程式与费雪方程式的关系
两者在内容上有本质的区别:
(1)对货币需求分析的侧重点不同
(2)一个重视流量分析,一个侧重存量分析
(3)对货币需求分析的角度和所强调的决定货币需求因素有所不同。
四、凯恩斯的货币需求利率
1.凯恩斯的货币需求动机理论
2.凯恩斯的货币需求函数
Md = M1 + M2 = L1(y)+ L2(r)-= L(y,r)
3.凯恩斯货币需求理论的特点
编辑推荐
最新资讯
- 2020年初中级经济师《经济基础》章节考点汇总2019-11-15
- 2019年初中级经济师《工商管理》考点汇总2019-10-17
- 2019年初中级经济师《金融经济》考点汇总2019-10-15
- 2019年初中级经济师《建筑经济》考点汇总2019-10-15
- 2019年初中级经济师《财政税收专业》考点汇总(10月12日更新)2019-10-12
- 2019年初中级经济师《经济基础》考点汇总2019-10-10
- 2019年经济师考试这12个公式必备!2019-09-10
- 2019年全国经济师考试教材正式出版!2019-07-09
- 2019年经济师考试备考必背公式集合汇总2019-04-25
- 2019年经济师考试备考必背公式集合三2019-04-25


