2010《中级基础》预习:对外金融关系与政策(1)
更新时间:2009-12-08 14:09:08
来源:|0
浏览
收藏
(一)汇率的决定与变动
1, 汇率决定理论转自环 球 网 校edu24ol.com
A, 购买力平价理论:两国货币的购买力之比是决定汇率的基础。
购买力平价理论:绝对购买力平价说明的是某一时点上汇率的决定,汇率等于两国一般物价水平之比。e = Pd / Pf ;
相对购买力平价:相对购买力平价说明的是某一时期汇率的变动,即两个时点的汇率之比等于两国一般物价指数之比,et / e0 = PId / PIf 。
绝对购买力平价和相对购买力平价的关系:如果绝对购买力平价成立,则相对购买力平价一定成立;反之不一定。其实,相对购买力平价是由绝对购买力平价推导出来的。
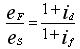
B, 抛补利率平价理论:说明远期汇率的决定,远期汇率由即期汇率和国内外利差决定。

有兴趣的同学可以具体了解一下上述公式的推导过程:均衡汇率要求在国内外存款的收益相同,否则便会引起资本的国际流动。假定某投资者有1元钱本币,则在本国存款一年后,收益为1*(1+id);存在国外的话,投资者先按当前汇率es将1元本币兑换为1/es单位的外币,存一年后收益为(1/es)*(1+if)单位外币,再按远期汇率兑换为本币,则为(1/es)*(1+if)*ef。在均衡汇率下,二者收益相等,即
1*(1+id)=(1/es)*(1+if)*ef,将等式变形,可得![]()
各字母的含义请参考课本。转自环 球 网 校edu24ol.com
高利率货币远期贴水,相应地外汇升水;低利率货币远期升水,相应地外汇贴水。升贴水幅度等于二者利率之差。
编辑推荐
最新资讯
- 2020年初中级经济师《经济基础》章节考点汇总2019-11-15
- 2019年初中级经济师《工商管理》考点汇总2019-10-17
- 2019年初中级经济师《金融经济》考点汇总2019-10-15
- 2019年初中级经济师《建筑经济》考点汇总2019-10-15
- 2019年初中级经济师《财政税收专业》考点汇总(10月12日更新)2019-10-12
- 2019年初中级经济师《经济基础》考点汇总2019-10-10
- 2019年经济师考试这12个公式必备!2019-09-10
- 2019年全国经济师考试教材正式出版!2019-07-09
- 2019年经济师考试备考必背公式集合汇总2019-04-25
- 2019年经济师考试备考必背公式集合三2019-04-25


