09年经济师《中级经济基础》时间序列(3)
更新时间:2009-10-19 15:27:29
来源:|0
浏览
收藏
(2)由时点序列计算序时平均数:
第一种情况,由连续时点计算。又分为两种情形。
①资料逐日排列且每天登记。即已掌握了整段考察时期内连续性的时点数据,可采用简单算术平均数的方法计算。
②资料登记的时间单位仍然是1天,但实际上只在指标值发生变动时才记录一次。此时需采用加权算术平均数的方法计算序时平均数,权数是每一指标值的持续天数。
例题见教材201页。
第二种情况,由间断时点计算。又分为两种情形。
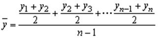
①每隔一定的时间登记一次,每次登记的间隔相等。间隔相等的间断时点序列序时平均数的计算公式为:

间断相等的间断时点序列序时平均数的计算思想是“两次平均”:先求各个时间间隔内的平均数,再对这些平均数进行简单算术平均。
编辑推荐
最新资讯
- 2020年初中级经济师《经济基础》章节考点汇总2019-11-15
- 2019年初中级经济师《工商管理》考点汇总2019-10-17
- 2019年初中级经济师《金融经济》考点汇总2019-10-15
- 2019年初中级经济师《建筑经济》考点汇总2019-10-15
- 2019年初中级经济师《财政税收专业》考点汇总(10月12日更新)2019-10-12
- 2019年初中级经济师《经济基础》考点汇总2019-10-10
- 2019年经济师考试这12个公式必备!2019-09-10
- 2019年全国经济师考试教材正式出版!2019-07-09
- 2019年经济师考试备考必背公式集合汇总2019-04-25
- 2019年经济师考试备考必背公式集合三2019-04-25


