09年经济师《中级经济基础》时间序列(7)
更新时间:2009-10-19 15:27:29
来源:|0
浏览
收藏
(2)定基发展速度:报告期水平与某一固定时期水平(通常是最初水平)的比值,用 表示,则有

(3)环比发展速度是报告期水平与其前一期水平的比值,用 表示

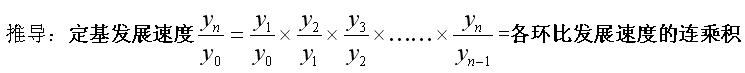
定基发展速度与环比发展速度之间的关系
第一,定基发展速度等于相应时期内各环比发展速度的连乘积:

第二,两个相邻时期定基发展速度的比率等于相应时期的环比发展速度
编辑推荐
最新资讯
- 2020年初中级经济师《经济基础》章节考点汇总2019-11-15
- 2019年初中级经济师《工商管理》考点汇总2019-10-17
- 2019年初中级经济师《金融经济》考点汇总2019-10-15
- 2019年初中级经济师《建筑经济》考点汇总2019-10-15
- 2019年初中级经济师《财政税收专业》考点汇总(10月12日更新)2019-10-12
- 2019年初中级经济师《经济基础》考点汇总2019-10-10
- 2019年经济师考试这12个公式必备!2019-09-10
- 2019年全国经济师考试教材正式出版!2019-07-09
- 2019年经济师考试备考必背公式集合汇总2019-04-25
- 2019年经济师考试备考必背公式集合三2019-04-25


