09年经济师《中级经济基础》时间序列(9)
更新时间:2009-10-19 15:27:29
来源:|0
浏览
收藏
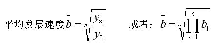
(二)平均发展速度与平均增长速度
1、平均发展速度:反映现象在一定时期内逐期发展变化的一般程度。是一定时期内各期环比发展速度的序时平均数。
目前计算平均发展速度通常采用几何平均法。几何平均法也称水平法,其计算原理是:
一定时期内现象发展的总速度等于各期环比发展速度的连乘积,根据平均数的计算原理,就应当按连乘法,即几何平均数公式计算指标值的平均数。

n表示环比发展速度的时期数。
2、平均增长速度:反映现象在一定时期内逐期增长(降低)变化的一般程度。
3、平均发展速度与平均增长速度的关系:
平均增长速度=平均发展速度-1
【课后题第10题】我国1990年出口商品总额为620.91亿美元,1996年出口商品总额为1510.66亿美元,1990~1996年出口商品总额的平均发展速度为( )。
A.115.97%
B.40.55%
C.15.97%
D.243.30%
答案:A
解析:1990~1996年出口商品总额的平均发展速度
编辑推荐
最新资讯
- 2020年初中级经济师《经济基础》章节考点汇总2019-11-15
- 2019年初中级经济师《工商管理》考点汇总2019-10-17
- 2019年初中级经济师《金融经济》考点汇总2019-10-15
- 2019年初中级经济师《建筑经济》考点汇总2019-10-15
- 2019年初中级经济师《财政税收专业》考点汇总(10月12日更新)2019-10-12
- 2019年初中级经济师《经济基础》考点汇总2019-10-10
- 2019年经济师考试这12个公式必备!2019-09-10
- 2019年全国经济师考试教材正式出版!2019-07-09
- 2019年经济师考试备考必背公式集合汇总2019-04-25
- 2019年经济师考试备考必背公式集合三2019-04-25


