2010年经济师《初级工商》预习辅导:第八章(3)
更新时间:2010-01-19 13:37:57
来源:|0
浏览
收藏
缺点:(1)适用范围窄,只适用上市公司
(2)只强调股东利益,忽视其他利益相关者的利益。
(3)股东借助有利位置侵犯其他主体利益
(4)股票价格受多方因素影响,并非企业能控制。转自环 球 网 校edu24ol.com
4. 以企业价值最大化为目标
以企业价值最大化作为财务管理的目标,比以股东财富最大化作为财务管理目标更科学。
从计量上来看,企业价值是企业未来一定年限内实现的税后利润按照一定标准贴现后的现在价值。企业价值越大,表明企业效益越好。
企业价值一般与企业收益、贴现率有关。
折现率不变,收益越大,价值越大;收益一定时,折现率越大,价值越小。
折现率取决于风险,风险越高,折现率高;风险越低,折现率越小。
企业价值与预期收益成正比,与预期风险成正比。
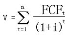
企业价值公式

V——企业价值
T——取得报酬具体时间
FCFt——第t年的企业报酬,通常用现金流量表示
i——与企业风险相适应的折现率
优点:(1)考虑了报酬实现的时间转自环 球 网 校edu24ol.com
(2)考虑风险与报酬的关系
(3)克服短期行为
编辑推荐
最新资讯
- 2020年初中级经济师《经济基础》章节考点汇总2019-11-15
- 2019年初中级经济师《工商管理》考点汇总2019-10-17
- 2019年初中级经济师《金融经济》考点汇总2019-10-15
- 2019年初中级经济师《建筑经济》考点汇总2019-10-15
- 2019年初中级经济师《财政税收专业》考点汇总(10月12日更新)2019-10-12
- 2019年初中级经济师《经济基础》考点汇总2019-10-10
- 2019年经济师考试这12个公式必备!2019-09-10
- 2019年全国经济师考试教材正式出版!2019-07-09
- 2019年经济师考试备考必背公式集合汇总2019-04-25
- 2019年经济师考试备考必背公式集合三2019-04-25


