2010年《中级经济基础》辅导:价格弹性(1)
更新时间:2010-11-03 10:17:58
来源:|0
浏览
收藏
价格弹性
(一)、需求价格弹性
1.需求价格弹性的定义

需求的变动与价格的变动符号相反,因此Ed为负数,为简便起见,我们通常把负号略去,取其绝对值。
【例题】某国为了鼓励本国石油工业的发展,于1973年采取措施限制石油进口,估计这些措施将使可得到的石油数量减少20%,如果石油的需求价格弹性在0.8—1.4之间,问从1973年起该国石油价格预期会上涨多少?
解:∵需求的价格弹性=需求量变动百分率/价格变动百分率
∴价格变动%=需求量变动%/需求的价格弹性
当价格弹性为0.8时,价格变动%=20%/0.8=25%
当价格弹性为1.4时,价格变动%=20%/1.4=14.3%
所以,预其1973年该国石油价格上涨幅度在14.3—25%之间。
2.需求价格弹性系数的计算公式???点弹性和弧弹性
(1)点弹性
点弹性,需求曲线某一点上的弹性,等于需求量的无穷小的相对变化对价格的一个无穷小的相对变化的比。
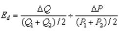
(2)弧弹性???需求曲线两点之间弧的弹性。
弧弹性系数的计算公式为:

注意:
弧弹性适用于价格和需求量变动较大的场合。
点弹性适用于价格和需求量变动较小的场合。
环球网校2010年经济师考试网络辅导热招中 转自环 球 网 校edu24ol.com
编辑推荐
最新资讯
- 2020年初中级经济师《经济基础》章节考点汇总2019-11-15
- 2019年初中级经济师《工商管理》考点汇总2019-10-17
- 2019年初中级经济师《金融经济》考点汇总2019-10-15
- 2019年初中级经济师《建筑经济》考点汇总2019-10-15
- 2019年初中级经济师《财政税收专业》考点汇总(10月12日更新)2019-10-12
- 2019年初中级经济师《经济基础》考点汇总2019-10-10
- 2019年经济师考试这12个公式必备!2019-09-10
- 2019年全国经济师考试教材正式出版!2019-07-09
- 2019年经济师考试备考必背公式集合汇总2019-04-25
- 2019年经济师考试备考必背公式集合三2019-04-25

