2011《初级工商管理》预习辅导:第四章(4)
四、平行顺序移动方式

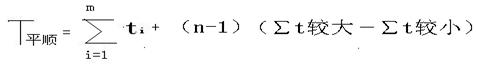
T平顺:平行顺序移动法下的产品加工生产周期
n:批量
m:加工工序的道数,
ti:第i道工序的单件工时 ,
t较大:比相邻工序单件工时均大的工序的单件工时
t较小:比相邻工序单件工时均小的工序的单件工时
或

t较短:每相邻工序较短的单件工序工时
例题10:某零件批量为n=3件,加工工序m=4,每道工序加工时间为t1=10分钟,t2=5分钟,t3=20分钟t4=10分钟,按平行移动方式计算生产周期。
T= (10+5+20+10)+(3-1)(10+20-5)=95分钟
或T=3×(10+5+20+10)-(3-1)×(5+5+10)=95分钟
五、三种方法比较
顺序移动方式,加工时无停顿,搬运次数少,在生产周期长。
平行移动方式,生产周期短,加工时出现停顿现象,搬运次数多。
平行顺序移动方式集前两者优点于一身。
(1)企业生产类型----单件小批量为顺序移动方式;大量大批的为其他两种方式
(2)生产任务缓急----急的为平行或平行顺序移动方式,
(3)劳动量的大小和零件的重轻----劳动量大,重量轻的为顺序移动方式;劳动量大,重量大得为其他两种方式
(4)企业内部生产单位专业化程度----对象专业化为平行或平行顺序移动方式,工艺专业化为顺序移动方式
(5)改变加工对象时,调整设备所需的劳动量----调整设备所需劳动量大不宜为平行移动方式;不大的为平行移动方式。
例题11:下列适用顺序移动方式的有()
A单件小批量 B生产任务急 C企业内部生产单位工艺专业化
D大量大批 E企业内部生产单位对象专业化
答案:AC
环球网校2011年经济师考试网络辅导热招中 转自环 球 网 校edu24ol.com
最新资讯
- 2020年初中级经济师《经济基础》章节考点汇总2019-11-15
- 2019年初中级经济师《工商管理》考点汇总2019-10-17
- 2019年初中级经济师《金融经济》考点汇总2019-10-15
- 2019年初中级经济师《建筑经济》考点汇总2019-10-15
- 2019年初中级经济师《财政税收专业》考点汇总(10月12日更新)2019-10-12
- 2019年初中级经济师《经济基础》考点汇总2019-10-10
- 2019年经济师考试这12个公式必备!2019-09-10
- 2019年全国经济师考试教材正式出版!2019-07-09
- 2019年经济师考试备考必背公式集合汇总2019-04-25
- 2019年经济师考试备考必背公式集合三2019-04-25

