2011《中级工商管理》预习讲义:第七讲(3)
(三)非概率抽样方式
非概率抽样,又称为不等概率抽样或非随机抽样,是调研者根据自己的方便或主观判断抽取样本的方法。主要有偶遇抽样、主观抽样、滚雪球抽样、、定额抽样等类型。
1.偶遇抽样,也称就近抽样、方便抽样或自然抽样。它是指研究者根据现实情况,以自己方便的形式抽取偶然遇到的人作为调查对象,或者仅仅选择那些离得最近的、最容易找到的人作为调查对象。其优点是方便省力,其缺点是样本的代表性差,,有很大的偶然性。
2.主观抽样,也称目标式抽样、判断式抽样或立意抽样。它是调查者根据自己的主观分析,来选择和确定调查对象的方法;。主观抽样取得的样本.其代表性取决于研究者对总体的了解程度和判断能力。主观抽样的优点是,可以充分发挥研究人员的主观能动性,其缺点是,样本的代表性难以判断,不能推论。
3.滚雪球抽样。当我们无法了解总体情况时,可以从总体中的少数成员入手。对他们进行调查向他们询问还知道哪些符合条件的人,再去找那些人并询问他们知道的人,如同滚雪球一样。我们可以找到越来越多具有相同性质的群体成员。
4.定额抽样。定额抽样从对总体性质的了解开始,在某一总体中考虑具有某种属性的人数所占的比例,然后从具有这种属性的人群中收集数据,并按各类人在总体中的比例赋予它的适当的比重。这样收集数据,从理论上讲应当能够代表总体。这种方法存在的问题是:定额的比例必须精确,但由于最新的关于总体性质变化的信息并不容易得到,往往造成抽样中的偏差。
(四)抽样中的误差问题
进行抽样调查可产生两类误差,一类是抽样误差,另一类是非抽样误差。 1.抽样误差 :由抽样的随机性产生,属于随机误差
抽样误差是指主要指样本平均数与总体平均数之差、样本比率与总体比率之差。
抽样误差中通常运用最多的抽样平均误差,即指样本平均数或样本比率的标准差。在重复抽样条件下,
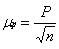
(1)样本平均数的抽样平均误差公式为![]()
其中,s为总体标准差,n为样本个案数。
(2)样本比率的抽样平均误差公式为: ![]()
其中,P为总体比率,n为样本个案数
实际计算时,则以样本标准差代替总体标准差,以样本比率代替总体比率。
对于不重复抽样,在总体个案数很大时,而样本个案数相对很小的情况节下,一般都采用重复抽样的平均误差公式来代替。
虽然抽样误差不可避免,但可以减小,其措施有:(1)增加样本个案数;(2)适当选择抽样方式。例如,在同样条件下,不重复抽样比重复抽样的抽样误差小,又如在总体现象分类比较明显时,采用分层随机抽样比其他方法的抽样误差小。
由于总体真正的参数值未知,真正的抽样误差也未知,所以抽样误差的计算一般都以抽样平均误差来代表真正的抽样误差。
2.非抽样误差
非抽样误差是指除抽样误差之外,由其他原因引起的样本指标与总体指标之间的差异。导致非抽样误差的原因主要有:(1)抽样框误差,是指因不准确或不完整的抽样框而引发的误差;(2)无应答误差,主要表现为低的答复率、不具代表性的样本;(3)应答误差,给出的答复与实际不相符。
(五)样本容量的确定
样本容量又称“样本数”。它指一个样本的必要抽样单位数目。适当的样本单位数目是保证样本指标具有充分代表性的基本前提。在市场调研中,确定样本容量的方法主要有:
1.直觉。通常在非概率抽样中应用。
2.统计精度。概率抽样的样本容量是在计算的基础上确定的,主要取决于满足估计精确度的要求。样本量的基本公式为:n=Z2s2/d2
n为样本量,Z为置信区间,d为抽样误差范围,s为标准差,一般取0.5)。
3.成本限制。这种方法是根据分配给项目的经费来决定样本容量。
4.行业经验数值。在运用非概率抽样方法,如定额抽样时,利用行业经验数值是非常有效率的。
环球网校2011年经济师考试网络辅导热招中 转自环 球 网 校edu24ol.com
最新资讯
- 2020年初中级经济师《经济基础》章节考点汇总2019-11-15
- 2019年初中级经济师《工商管理》考点汇总2019-10-17
- 2019年初中级经济师《金融经济》考点汇总2019-10-15
- 2019年初中级经济师《建筑经济》考点汇总2019-10-15
- 2019年初中级经济师《财政税收专业》考点汇总(10月12日更新)2019-10-12
- 2019年初中级经济师《经济基础》考点汇总2019-10-10
- 2019年经济师考试这12个公式必备!2019-09-10
- 2019年全国经济师考试教材正式出版!2019-07-09
- 2019年经济师考试备考必背公式集合汇总2019-04-25
- 2019年经济师考试备考必背公式集合三2019-04-25

