2010年《初级经济基础》:汇率与国际收支(3)
更新时间:2010-03-12 13:28:43
来源:|0
浏览
收藏
9、汇率决定理论(2009年新增内容)
(1)购买力平价理论
① 购买力平价:两国货币的购买力之比,货币的购买力与一般物价水平呈反比,是一般物价水平的倒数。
② 购买力平价理论最早是由瑞典经济学家卡塞尔于1922年提出的,他认为,两国货币的购买力之比是决定汇率的基础,汇率的变动是由两国货币购买力之比变化引起的。
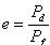
③ 绝对购买力平价
Ø 某一时点上汇率的决定,即汇率等于两国一般物价水平之比。
Ø 公式(直接标价法,Pd和Pf分别表示本国和外国一般物价水平的绝对水平)
![]()
④ 相对购买力平价转自环 球 网 校edu24ol.com
Ø 某一时期汇率的变动,即两个时点的汇率之比等于两国一般物价指数之比。
Ø 公式(直接标价法,PId和PIf分别表示报告期本国和外国一般物价指数)
![]()
⑤ 绝对购买力平价和相对购买力平价的关系
Ø 如果绝对购买力平价成立,相对购买力平价一定成立;
Ø 如果想对购买力平价成立,绝对购买力平价不一定成立。
编辑推荐
最新资讯
- 2020年初中级经济师《经济基础》章节考点汇总2019-11-15
- 2019年初中级经济师《工商管理》考点汇总2019-10-17
- 2019年初中级经济师《金融经济》考点汇总2019-10-15
- 2019年初中级经济师《建筑经济》考点汇总2019-10-15
- 2019年初中级经济师《财政税收专业》考点汇总(10月12日更新)2019-10-12
- 2019年初中级经济师《经济基础》考点汇总2019-10-10
- 2019年经济师考试这12个公式必备!2019-09-10
- 2019年全国经济师考试教材正式出版!2019-07-09
- 2019年经济师考试备考必背公式集合汇总2019-04-25
- 2019年经济师考试备考必背公式集合三2019-04-25


