2010年《中级经济基础》辅导:统计指数(3)
更新时间:2010-05-24 10:05:48
来源:|0
浏览
收藏
第三节、指数体系
学习要求:
1.熟悉总量指数、指数体系的含义
2.掌握指数体系的分析和应用
具体内容:
(一)总量指数与指数体系
1.总量指数:总量指数是由两个不同时期的总量对比形成的相对数。
(1)可以由不同时期的实物总量对比形成:如总产量指数
(2)可以由不同时期的价值总量对比形成,通常称为“价值指数”:如产品总成本、商品销售额。
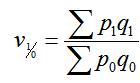
总量通常可以分解为若干构成要素,就多项事物而言,综合总量指数的一般形式可以写成:


三者关系:
销售额变动15326元=价格变动的影响额9106元+销售量变动的影响额6220元
编辑推荐
最新资讯
- 2020年初中级经济师《经济基础》章节考点汇总2019-11-15
- 2019年初中级经济师《工商管理》考点汇总2019-10-17
- 2019年初中级经济师《金融经济》考点汇总2019-10-15
- 2019年初中级经济师《建筑经济》考点汇总2019-10-15
- 2019年初中级经济师《财政税收专业》考点汇总(10月12日更新)2019-10-12
- 2019年初中级经济师《经济基础》考点汇总2019-10-10
- 2019年经济师考试这12个公式必备!2019-09-10
- 2019年全国经济师考试教材正式出版!2019-07-09
- 2019年经济师考试备考必背公式集合汇总2019-04-25
- 2019年经济师考试备考必背公式集合三2019-04-25


