2010年《中级经济基础》:数据特征的测度(3)
更新时间:2010-06-01 13:35:29
来源:|0
浏览
收藏
(三)算术平均数
1、涵义:算术平均数是全部数据的算术平均,又称均值,用 表示。是集中趋势中最主要的测度值。主要适用于数值型数据,但不适用于品质数据。转自环球网校edu24ol.com
2、计算公式:
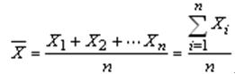
(1)简单算术平均数
简单算术平均数主要用于处理未分组的原始数据。
简单算术平均数的计算公式为:

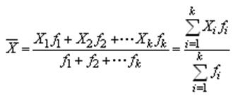
(2)加权算术平均数
加权算术平均数主要用于处理经分组整理的数据。
加权算术平均数的计算公式为:

Xi——各组的组中值
fi——各组的频数
3、计算和运用算术平均数注意事项:
(1)算术平均数同时受到两个因素的影响:各组数值的大小、各组分布频数的多少。频数在算术平均数中起着权衡轻重的作用。
(2)算术平均数易受极端值的影响。极端值的出现,会使平均数的真实性受到干扰。
【例题6:2003年单选】集中趋势最主要的测度值是( )。
A.众数 B.中位数
C.均值 D.几何平均数
答案:C
解析:算术平均数也称为均值,是集中趋势最主要的测度值。
编辑推荐
最新资讯
- 2020年初中级经济师《经济基础》章节考点汇总2019-11-15
- 2019年初中级经济师《工商管理》考点汇总2019-10-17
- 2019年初中级经济师《金融经济》考点汇总2019-10-15
- 2019年初中级经济师《建筑经济》考点汇总2019-10-15
- 2019年初中级经济师《财政税收专业》考点汇总(10月12日更新)2019-10-12
- 2019年初中级经济师《经济基础》考点汇总2019-10-10
- 2019年经济师考试这12个公式必备!2019-09-10
- 2019年全国经济师考试教材正式出版!2019-07-09
- 2019年经济师考试备考必背公式集合汇总2019-04-25
- 2019年经济师考试备考必背公式集合三2019-04-25


