2010年《中级金融》:利率与金融资产定价(5)
更新时间:2010-06-17 10:12:28
来源:|0
浏览
收藏
第二节 货币的时间价值
考试内容:
单利和复利的概念,现值与终值的概念及其计算,系列现金流现值的计算,连续复利下现值的计算。
终值(单利、复利、连续复利)转自环球网校edu24ol.com
现值(复利、连续复利)
一、复利与终值
单利
复利(按年计息、一年多期计息)
连续复利
(一)单利与复利
利息的计算分单利和复利。转自环球网校edu24ol.com
单利就是不论借贷期限的长短,仅按本金计算利息,上期本金所产生的利息不记入下期本金重复计算利息。
![]()
例如:100元存入银行,年利率为3%,利息为多少?
1年为3元:100×3%=3元
2年为6元:100×3%+100×3%=6元
3年为9元:100×3%+100×3%+100×3%=9元
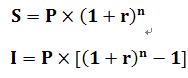
复利也称利滚利,就是将每一期所产生的利息加入本金一并计算下一期的利息。
S——复利终值(本利和)
P——复利现值(本金)
r——利率
n——时间(期数)
n与r要匹配。
复利计算公式为:

【例题1,计算题】已知1000元本金,利率为8%。
(1)计算二年期终值是多少?
答案:
S=1000×(1+8%)2
(2)求第三年的利息是多少?
答案:I=1000×(1+8%)2×8%×1
【思考,还有什么解法?】
(3)求三年期本利和是多少?
答案:S=1000×(1+8%)3
编辑推荐
最新资讯
- 2020年初中级经济师《经济基础》章节考点汇总2019-11-15
- 2019年初中级经济师《工商管理》考点汇总2019-10-17
- 2019年初中级经济师《金融经济》考点汇总2019-10-15
- 2019年初中级经济师《建筑经济》考点汇总2019-10-15
- 2019年初中级经济师《财政税收专业》考点汇总(10月12日更新)2019-10-12
- 2019年初中级经济师《经济基础》考点汇总2019-10-10
- 2019年经济师考试这12个公式必备!2019-09-10
- 2019年全国经济师考试教材正式出版!2019-07-09
- 2019年经济师考试备考必背公式集合汇总2019-04-25
- 2019年经济师考试备考必背公式集合三2019-04-25

