2010《审计相关专业知识》:投资决策管理(3)
更新时间:2010-06-18 13:26:19
来源:|0
浏览
收藏
(二)股票投资的估值
1、股票估值的基本公式
2、有限其持有股票的价值计算
3、零成长公司股票价值——永续年金

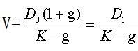
4、固定增长公司股票估值的计算公式转自环球网校edu24ol.com

(三)股票投资收益率
1、零增长公司股票的投资收益率

2、固定增长公司股票的投资收益率

2010年审计师考试辅导招生简章 转自环球网校edu24ol.com
最新资讯
- 2020年初中级审计师考试大纲汇总(4月30日更新)2020-04-30
- 2019年审计师教材变化汇总(6.27更新完毕)2019-06-27
- 审计师行业动态:邢台市审计局按需施教加强审计干部培训2019-04-24
- 2019年审计师考试四个阶段通关攻略2019-02-28
- 2018年审计师《企业财务管理》精选笔记财管目标和职能2018-01-24
- 2018年审计师《企业财务管理》精选笔记财管含义和内容2018-01-24
- 2018年审计师《企业财务管理》精选笔记利润管理2018-01-24
- 2018年审计师《企业财务管理》精选笔记非股份制企业利润分配2018-01-24
- 2018年审计师《企业财务管理》精选笔记股份制企业利润分配2018-01-24
- 2018年审计师《企业财务管理》精选笔记利润及其分配管理2018-01-24

