2010年《中级金融》:利率与金融资产定价(7)
更新时间:2010-06-18 15:59:14
来源:|0
浏览
收藏
二、现值
现值(Present value)也称作在用价值,是现在和将来(或过去)的一笔支付或支付流在今天的价值。
(一)系列现金流的现值
将系列中每个期间的流量分别计算现值,然后相加。
公式:

其中,Ai表示第i年末的现金流量,i=1,2,…n
特殊情况,如果是每年的流量相等,那么可以直接去查年金现值系数表。
【例题6,计算题】有一系列的现金流,第1年年末是100,第2年年末是200,第3年年末是200,第4年年末是400,若折现率是8%,则这一系列现金流的现值为多少?
解答:利用公式,对每个流量分别折现,再相加,得到
![]()
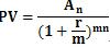
(二)连续复利下的现值
如果一年之内多次支付利息,则利息率为r/m,此时现值公式为:
![]()
【例题7,计算题】假定三年后可以收到现金流100元,贴现率为8%,按季度计息,则现值为多少?
解答:

结论:每年的计息次数越多,现值越小。随着计息间隔时间的缩短,现值以递减的速度减少,最后等于连续复利的终值。
编辑推荐
最新资讯
- 2020年初中级经济师《经济基础》章节考点汇总2019-11-15
- 2019年初中级经济师《工商管理》考点汇总2019-10-17
- 2019年初中级经济师《金融经济》考点汇总2019-10-15
- 2019年初中级经济师《建筑经济》考点汇总2019-10-15
- 2019年初中级经济师《财政税收专业》考点汇总(10月12日更新)2019-10-12
- 2019年初中级经济师《经济基础》考点汇总2019-10-10
- 2019年经济师考试这12个公式必备!2019-09-10
- 2019年全国经济师考试教材正式出版!2019-07-09
- 2019年经济师考试备考必背公式集合汇总2019-04-25
- 2019年经济师考试备考必背公式集合三2019-04-25

