2010年经济师《中级金融》辅导:收益率(1)
更新时间:2010-06-21 13:38:31
来源:|0
浏览
收藏
一、到期收益率
到期收益率是衡量利率的确切指标,它是指使未来收益的现值等于今天价格的利率。因为实际的发行价格与票面面值不同,所以出现了到期收益率的问题。下面考虑三种金融市场工具的到期收益率的计算。到期收益率是债券的内含收益率。

零息债券
附息债券
永久债券
零息债券,也称折扣债券,是名义上不支付利息,折价出售,到期按债券面值兑现。零息债券的即期价格为债券未来现金流的现值。因此对于面额相等的零息债券,期限越长的债券的即期价格越低。
附息债券,债券券面上附有息票的债券,是按照债券票面载明的利率及支付方式支付利息的债券。息票上标有利息额、支付利息的期限和债券号码等内容。附息债券的利息支付方式一般应在偿还期内按期付息,如每半年或一年付息一次。
永久债券,期限无限长,没有到期日,定期支付利息。
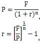
(一)零息债券到期收益率转自环球网校edu24ol.com
如果按年复利计算,则到期收益率的计算公式为:

编辑推荐
最新资讯
- 2020年初中级经济师《经济基础》章节考点汇总2019-11-15
- 2019年初中级经济师《工商管理》考点汇总2019-10-17
- 2019年初中级经济师《金融经济》考点汇总2019-10-15
- 2019年初中级经济师《建筑经济》考点汇总2019-10-15
- 2019年初中级经济师《财政税收专业》考点汇总(10月12日更新)2019-10-12
- 2019年初中级经济师《经济基础》考点汇总2019-10-10
- 2019年经济师考试这12个公式必备!2019-09-10
- 2019年全国经济师考试教材正式出版!2019-07-09
- 2019年经济师考试备考必背公式集合汇总2019-04-25
- 2019年经济师考试备考必背公式集合三2019-04-25

