2010年《中级金融》辅导:金融资产定价(7)
更新时间:2010-06-24 10:29:51
来源:|0
浏览
收藏
资本资产定价理论
除马科维茨提出的假设外,资本资产定价理论提出了自身的理论假设:①市场上存在一种无风险资产,投资者可以按无风险利率借进或借出任意数额的无风险资产;②市场效率边界曲线只有一条;③交易费用为零。
1. 资本市场线转自环球网校edu24ol.com
资本市场线反映了投资于风险资产组合和无风险资产的收益与风险关系。
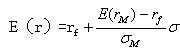
CAPM表明,在均衡状态,资本市场线(CML)表示对所有投资者而言是最好的风险收益组合。尽管理性的投资者都希望尽力达到高于CML的点,而竞争的市场将使资产价格变动,使每人都达到直线上的某点。资本市场线CML的公式为:

E(r)表示投资者所投资的某种金融资产的预期收益,E(rM)和σM分别表示市场投资组合的预期收益和标准差。
由上式,可得风险溢价的决定公式
![]()
由上式可知,风险溢价的大小取决于市场均衡的风险-收益比率(即CML线的斜率)和投资者的风险偏好程度。而前者是固定不变的,投资者只能通过改变风险偏好来影响风险溢价。
2. 证券市场线
证券市场线是在资本市场线基础上,进一步说明了单个风险资产的收益与风险之间的关系。
投资者承担的风险必须以较高的预期收益作为补偿,即如果在均衡状态,A证券的预期收益率高于B证券的预期收益,则A证券的风险大于B证券的风险。
而资产定价模型(CAPM)则提供了测度不可消除系统性风险的指标,即风险系数β。
![]()
根据资本资产定价模型,在均衡状态,预期收益和风险的关系是:

编辑推荐
最新资讯
- 2020年初中级经济师《经济基础》章节考点汇总2019-11-15
- 2019年初中级经济师《工商管理》考点汇总2019-10-17
- 2019年初中级经济师《金融经济》考点汇总2019-10-15
- 2019年初中级经济师《建筑经济》考点汇总2019-10-15
- 2019年初中级经济师《财政税收专业》考点汇总(10月12日更新)2019-10-12
- 2019年初中级经济师《经济基础》考点汇总2019-10-10
- 2019年经济师考试这12个公式必备!2019-09-10
- 2019年全国经济师考试教材正式出版!2019-07-09
- 2019年经济师考试备考必背公式集合汇总2019-04-25
- 2019年经济师考试备考必背公式集合三2019-04-25

