2010年《中级经济基础》:统计指数(3)
更新时间:2010-07-26 11:16:57
来源:|0
浏览
收藏
第三节、指数体系
学习要求:
1.熟悉总量指数、指数体系的含义
2.掌握指数体系的分析和应用
具体内容:
(一)总量指数与指数体系
1.总量指数:总量指数是由两个不同时期的总量对比形成的相对数。
(1)可以由不同时期的实物总量对比形成:如总产量指数
(2)可以由不同时期的价值总量对比形成,通常称为“价值指数”:如产品总成本、商品销售额。
总量通常可以分解为若干构成要素,就多项事物而言,综合总量指数的一般形式可以写成:

2.指数体系:由总量指数及其若干个因素指数构成的数量关系式。
(二)指数体系的分析与应用
利用指数体系既可以对现象发展的相对变化程度及及各因素的影响程度进行分析,也可以对现象变化的绝对数量及各因素的影响数额进行分析。
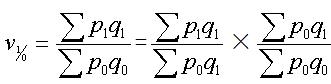
在实际分析中,比较常用的是基权数加权的数量指数(拉氏数量指数)和报告期权数加权的质量指数(帕氏价格指数)形成的指数体系。
该指数体系可表示为:

总量指数=帕氏价格指数×拉氏数量指数,也可以写成
(1+总量增长率)=(1+价格增长率)*(1+数量增长率)
就绝对水平看,关系式为:

总量差异=价格变动影响额+数量变动影响额
见教材例题

编辑推荐
最新资讯
- 2020年初中级经济师《经济基础》章节考点汇总2019-11-15
- 2019年初中级经济师《工商管理》考点汇总2019-10-17
- 2019年初中级经济师《金融经济》考点汇总2019-10-15
- 2019年初中级经济师《建筑经济》考点汇总2019-10-15
- 2019年初中级经济师《财政税收专业》考点汇总(10月12日更新)2019-10-12
- 2019年初中级经济师《经济基础》考点汇总2019-10-10
- 2019年经济师考试这12个公式必备!2019-09-10
- 2019年全国经济师考试教材正式出版!2019-07-09
- 2019年经济师考试备考必背公式集合汇总2019-04-25
- 2019年经济师考试备考必背公式集合三2019-04-25

