2010初级工商专业:生产过程的时间组织(1)
更新时间:2010-08-25 10:40:28
来源:|0
浏览
收藏
第三节 生产过程的时间组织
一、概念----时间上对劳动对象在车间、工段之间遗迹工作地之间的运动配合与衔接进行合理安排和设计。
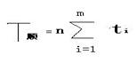
二、顺序移动方式----多道工序加工,在上一工序全部加工完毕后再搬到下一工序加工 (周期长)

n:批量
m:加工工序的道数,
ti:第i道工序的单件工时
例题9:某零件批量为n=3件,加工工序m=4,每道工序加工时间为t1=10分钟,t2=5分钟,t3=20分钟t4=10分钟,按顺序移动方式计算生产周期。
T=3×(10+5+20+10)=135分钟
三、平行移动方式----每个零件上一工序完工后,立即投入到下一工序加工。

T平:平行移动法下的产品加工生产周期
n:批量
m:加工工序的道数,
ti:第i道工序的单件工时 ,
t最长:在各道工序中,单件工时最长的那道工序的单件工时,
例题10:某零件批量为n=3件,加工工序m=4,每道工序加工时间为t1=10分钟,t2=5分钟,t3=20分钟t4=10分钟,按平行移动方式计算生产周期。
T=(10+5+20+10)+(3-1)×20=85分钟
环球网校2010年经济师考试网络辅导热招中 转自环 球 网 校edu24ol.com
编辑推荐
最新资讯
- 2020年初中级经济师《经济基础》章节考点汇总2019-11-15
- 2019年初中级经济师《工商管理》考点汇总2019-10-17
- 2019年初中级经济师《金融经济》考点汇总2019-10-15
- 2019年初中级经济师《建筑经济》考点汇总2019-10-15
- 2019年初中级经济师《财政税收专业》考点汇总(10月12日更新)2019-10-12
- 2019年初中级经济师《经济基础》考点汇总2019-10-10
- 2019年经济师考试这12个公式必备!2019-09-10
- 2019年全国经济师考试教材正式出版!2019-07-09
- 2019年经济师考试备考必背公式集合汇总2019-04-25
- 2019年经济师考试备考必背公式集合三2019-04-25

