2011《初级经济基础》:汇率与国际收支(4)
(2)利率平价理论
① 利率平价理论从国际资本流动的角度探讨利率,考察利率对汇率的影响,特别是对短期汇率变动的影响。
② 利率平价理论分为抛补利率平价和未抛补利率平价。
③ 抛补利率平价理论
讨论远期汇率的决定,最早由凯恩斯提出,后经艾因齐格等学者加以完善。
理论认为:投资者可以在本国投资,也可以在外国投资,这取决于国内外的投资收益率,如果收益率有差异则存在获得无风险收益的套利机会,资本就会从低收益率的国家流向高收益率的国家,直至两国收益率相等才达到平衡,这时的汇率就是均衡汇率。
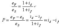
公式
id 和if 分别表示国内外利率,eS 和eF 分别表示即期汇率和一年后的远期汇率,P表示年升贴水率,相互之间的关系为:

上式表明,远期汇率是由即期汇率和国内外利差决定,高利率货币远期贴水(相应地外汇升水),低利率货币远期升水(相应地外汇贴水),年升贴水率等于两国利差。
例题:
1、(课后习题)以一定单位的外国货币作为标准,折算为本国货币来表示汇率的标价法被称为( )。
A.直接标价法 B.间接标价法 C.美元标价法 D.双向标价法
正确答案:A
2、(课后习题)在间接标价法下,如果汇率值变大,则本币即期汇率( )。
A.升值 B.贬值 C.升水 D.贴水
正确答案:A
3、(课后习题)在银行的外汇牌价中,两者相同的是( )。
A.现钞卖出价和现汇买入价 B.现钞买入价和现汇卖出价
C.现钞买入价和现汇买入价 D.现钞卖出价和现汇卖出价
正确答案:D
4、(课后习题)如果期汇比现汇便宜,则说明该外汇( )。
A.升值 B.贬值 C.升水 D.贴水
正确答案:D
5、(课后习题)一国货币对某一关键货币的汇率被称为( )。
A.交叉汇率 B.基本汇率 C.中心汇率 D.平价汇率
正确答案:B
环球网校2011年经济师考试网络辅导热招中 转自环 球 网 校edu24ol.com
最新资讯
- 2020年初中级经济师《经济基础》章节考点汇总2019-11-15
- 2019年初中级经济师《工商管理》考点汇总2019-10-17
- 2019年初中级经济师《金融经济》考点汇总2019-10-15
- 2019年初中级经济师《建筑经济》考点汇总2019-10-15
- 2019年初中级经济师《财政税收专业》考点汇总(10月12日更新)2019-10-12
- 2019年初中级经济师《经济基础》考点汇总2019-10-10
- 2019年经济师考试这12个公式必备!2019-09-10
- 2019年全国经济师考试教材正式出版!2019-07-09
- 2019年经济师考试备考必背公式集合汇总2019-04-25
- 2019年经济师考试备考必背公式集合三2019-04-25

