《中级金融》金融资产定价复习资料(二)
更新时间:2011-03-10 09:34:29
来源:|0
浏览
收藏
(三)股票定价(掌握)
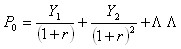
1、股票价格由预期收入和当时的市场利率决定。股票的价格等于未来每一期预期收入的现值之和。当未来每一期的预期收入相等时(无限期系列现金流的现值),
所以,股票价格=预期股息收入/市场利率
永久期限债券价格=每期利息收入/市场利率(或预期收益率)
例1:某种股票预期年股息10元,市场利率为10%,其价格为10/10%=100元;
如果预期收入为20元,价格20/10%=200元
如果预期收入为20元,市场利率5%,20/5%=400元
例2:某一永久期限的债券,面额外100元,票面利率5%,市场利率为4%,其价格是多少?
P=(100*5%)/4%=125
2、股票静态价格确定
(1)由收益和利率计算股票价格
股票价格主要取决于收益和利率两因素;股票价格与收益成正比,与利率成反正。
P=Y/r
例:某股票年末每股税后利润0.4元,市场利率为5%,则该股价格:
P= 0.4/5%=8元
因此:当该股市价
当该股市价>P时,投资者应该卖出该股票;
当该股市价=P时,投资者应该继续持有或卖出该股票;
(2)由市盈率计算股票价格
市盈率=股票价格/每股税后盈利
股票发行价格=预计每股税后盈利*市场平均市盈率
例:若上题平均市盈率为20倍,则股票价格为:
P=0.4*20=8元
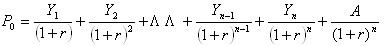
2、股票动态价格确定
方法与分期付息债券的价格确定基本相同

环球网校2011年经济师考试网络辅导热招中转自环 球 网 校edu24ol.com
编辑推荐
最新资讯
- 2020年初中级经济师《经济基础》章节考点汇总2019-11-15
- 2019年初中级经济师《工商管理》考点汇总2019-10-17
- 2019年初中级经济师《金融经济》考点汇总2019-10-15
- 2019年初中级经济师《建筑经济》考点汇总2019-10-15
- 2019年初中级经济师《财政税收专业》考点汇总(10月12日更新)2019-10-12
- 2019年初中级经济师《经济基础》考点汇总2019-10-10
- 2019年经济师考试这12个公式必备!2019-09-10
- 2019年全国经济师考试教材正式出版!2019-07-09
- 2019年经济师考试备考必背公式集合汇总2019-04-25
- 2019年经济师考试备考必背公式集合三2019-04-25

